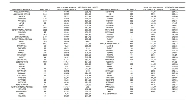
Σε υψηλά επίπεδα εξακολουθεί να βρίσκεται ο αριθμός των νέων κρουσμάτων κορονοϊού που ανακοίνωσε ο ΕΟΔΥ σήμερα Πέμπτη 10 Μαρτίου 2022. Η Αττική, όπως προκύπτει από τη γεωγραφική κατανομή, είναι η πιο επιβαρυμένη επιδημιολογικά περιφέρεια, αφού εντοπίστηκαν 7.125 μολύνσεις. Παράλληλα, στη Θεσσαλονίκη καταγράφηκαν 2.161 κρούσματα.
Αναλυτικά, τα κρούσματα στην Αττική:
- Ανατολική Αττική: 914 κρούσματα
- Βόρειος τομέας Αθηνών: 1.206 κρούσματα
- Δυτική Αττική: 249 κρούσματα
- Δυτικός Τομέας Αθηνών: 959 κρούσματα
- Κεντρικός τομέας Αθηνών: 2.022 κρούσματα
- Νήσων: 147 κρούσματα
- Νότιος Τομέας Αθηνών: 841 κρούσματα
- Πειραιάς: 787 κρούσματα
H κατανομή στις περιφερειακές ενότητες όλης της χώρας:
- ΑΙΤΩΛΟΑΚΑΡΝΑΝΙΑΣ 440
- ΑΝΑΤΟΛΙΚΗΣ ΑΤΤΙΚΗΣ 914
- ΑΝΔΡΟΥ 56
- ΑΡΓΟΛΙΔΑΣ 136
- ΑΡΚΑΔΙΑΣ 170
- ΑΡΤΑΣ 92
- ΑΧΑΪΑΣ 931
- ΒΟΙΩΤΙΑΣ 198
- ΒΟΡΕΙΟΥ ΤΟΜΕΑ ΑΘΗΝΩΝ 1.206
- ΓΡΕΒΕΝΩΝ 42
- ΔΡΑΜΑΣ 162
- ΔΥΤΙΚΗΣ ΑΤΤΙΚΗΣ 249
- ΔΥΤΙΚΟΥ ΤΟΜΕΑ ΑΘΗΝΩΝ 959
- ΕΒΡΟΥ 145
- ΕΥΒΟΙΑΣ 501
- ΕΥΡΥΤΑΝΙΑΣ 58
- ΖΑΚΥΝΘΟΥ 86
- ΗΛΕΙΑΣ 260
- ΗΜΑΘΙΑΣ 180
- ΗΡΑΚΛΕΙΟΥ 1.192
- ΘΑΣΟΥ 44
- ΘΕΣΠΡΩΤΙΑΣ 66
- ΘΕΣΣΑΛΟΝΙΚΗΣ 2.161
- ΘΗΡΑΣ 32
- ΙΘΑΚΗΣ 1
- ΙΚΑΡΙΑΣ 24
- ΙΩΑΝΝΙΝΩΝ 408
- ΚΑΒΑΛΑΣ 155
- ΚΑΛΥΜΝΟΥ 91
- ΚΑΡΔΙΤΣΑΣ 147
- ΚΑΡΠΑΘΟΥ 12
- ΚΑΣΤΟΡΙΑΣ 61
- ΚΕΑΣ – ΚΥΘΝΟΥ 9
- ΚΕΝΤΡΙΚΟΥ ΤΟΜΕΑ ΑΘΗΝΩΝ 2.022
- ΚΕΡΚΥΡΑΣ 159
- ΚΕΦΑΛΛΗΝΙΑΣ 93
- ΚΙΛΚΙΣ 128
- ΚΟΖΑΝΗΣ 417
- ΚΟΡΙΝΘΙΑΣ 297
- ΚΩ 125
- ΛΑΚΩΝΙΑΣ 204
- ΛΑΡΙΣΑΣ 484
- ΛΑΣΙΘΙΟΥ 186
- ΛΕΣΒΟΥ 151
- ΛΕΥΚΑΔΑΣ 71
- ΛΗΜΝΟΥ 27
- ΜΑΓΝΗΣΙΑΣ 395
- ΜΕΣΣΗΝΙΑΣ 319
- ΜΗΛΟΥ 13
- ΜΥΚΟΝΟΥ 15
- ΝΑΞΟΥ 54
- ΝΗΣΩΝ 147
- ΝΟΤΙΟΥ ΤΟΜΕΑ ΑΘΗΝΩΝ 841
- ΞΑΝΘΗΣ 167
- ΠΑΡΟΥ 30
- ΠΕΙΡΑΙΩΣ 787
- ΠΕΛΛΑΣ 197
- ΠΙΕΡΙΑΣ 99
- ΠΡΕΒΕΖΑΣ 110
- ΡΕΘΥΜΝΟΥ 374
- ΡΟΔΟΠΗΣ 74
- ΡΟΔΟΥ 190
- ΣΑΜΟΥ 57
- ΣΕΡΡΩΝ 180
- ΣΠΟΡΑΔΩΝ 34
- ΣΥΡΟΥ 68
- ΤΗΝΟΥ 28
- ΤΡΙΚΑΛΩΝ 308
- ΦΘΙΩΤΙΔΑΣ 313
- ΦΛΩΡΙΝΑΣ 86
- ΦΩΚΙΔΑΣ 78
- ΧΑΛΚΙΔΙΚΗΣ 177
- ΧΑΝΙΩΝ 381
- ΧΙΟΥ 126
- ΥΠΟ ΔΙΕΡΕΥΝΗΣΗ 636

- Το πέσιμο ΠΑΣΟΚ στους δημοσκόπους, η δύναμη του Τσίπρα στην Αττική και το λάθος του Γιούνκερ
- Survivor: Τα πρώτα λόγια του Σταύρου Φλώρου - «Μαμά, τι να στεναχωριέμαι; Ζω, όλα τα άλλα θα τα δούμε»
- Ηλιούπολη: Σε εξαιρετικά κρίσιμη κατάσταση η επιζήσασα - Το «κενό των 3 ωρών» που εξετάζεται
- Φρικτή υπόθεση στο Περιστέρι: 6 παιδιά ζούσαν μέσα σε ακαθαρσίες - Συνελήφθησαν οι γονείς
Ακολουθήστε το Reader στα Google News για να είστε πάντα ενημερωμένοι για όλες τις ειδήσεις και τα νέα από την Ελλάδα και τον κόσμο.