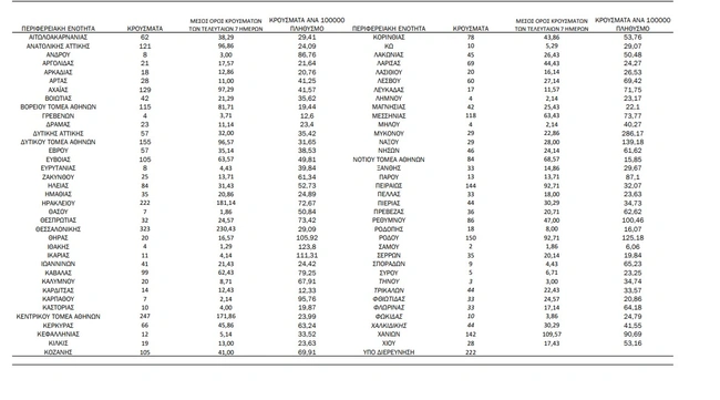
Στην Αττική εντοπίστηκαν τα περισσότερα από τα 4.206 κρούσματα κορονοϊού που ανακοίνωσε σήμερα, Τρίτη, 17 Αυγούστου ο ΕΟΔΥ. Από αυτά τα 28 κρούσματα είναι εισαγόμενα εκ των οποίων 21 εντοπίστηκαν κατόπιν ελέγχων στις πύλες εισόδου της χώρας. Στο Λεκανοπέδιο εντοπίστηκαν 969 κρούσματα με τα περισσότερα να βρίσκονται στο κέντρο της Αθήνας με 247.
Tα κρούσματα στις περιφερειακές ενότητες που ανήκουν στην Αττική:
- Ανατολική Αττική: 121 κρούσματα
- Βόρειος Τομέας Αθηνών: 115 κρούσματα
- Δυτική Αττική: 57 κρούσματα
- Δυτικός Τομέας Αθηνών: 155 κρούσματα
- Κεντρικός Τομέας Αθηνών: 247 κρούσματα
- Νήσων: 29 κρούσματα
- Νότιος Τομέας Αθηνών: 84 κρούσματα
- Πειραιάς: 144 κρούσματα
Στη Θεσσαλονίκη καταγράφηκαν 323 νέες μολύνσεις. Στην Κρήτη ο αριθμός των κρουσμάτων παραμένει σε υψηλά επίπεδα (συνολικά 470) με το Ρέθυμνο να έχει 86, το Ηράκλειο 222 τα Χανιά 142 και το Λασίθι 20. Υπό διερεύνηση είναι 222 κρούσματα.
Με τριψήφιο αριθμό κρουσμάτων εκτός από τη Θεσσαλονίκη ανακοινώθηκαν και οι εξής περιοχές:
- Αχαΐα 129
- Εύβοια 105
- Ρόδος 150
- Κοζάνη 105
- Μεσσηνία 118
Αναλυτικά η γεωγραφική κατανομή:
- 323 κρούσματα στην Π.Ε. Θεσσαλονίκης
- 62 κρούσματα στην Π.Ε. Αιτωλοακαρνανίας
- 8 κρούσματα στην Π.Ε. Άνδρου
- 21 κρούσματα στην Π.Ε. Αργολίδας
- 18 κρούσματα στην Π.Ε. Αρκαδίας
- 28 κρούσματα στην Π.Ε. Άρτας
- 129 κρούσματα στην Π.Ε. Αχαΐας
- 42 κρούσματα στην Π.Ε. Βοιωτίας
- 4 κρούσματα στην Π.Ε. Γρεβενών
- 23 κρούσματα στην Π.Ε. Δράμας
- 57 κρούσματα στην Π.Ε. Έβρου
- 105 κρούσματα στην Π.Ε. Εύβοιας
- 8 κρούσματα στην Π.Ε. Ευρυτανίας
- 25 κρούσματα στην Π.Ε. Ζακύνθου
- 84 κρούσματα στην Π.Ε. Ηλείας
- 35 κρούσματα στην Π.Ε Ημαθίας
- 222 κρούσματα στην ΠΕ Ηρακλείου
- 7 κρούσματα στην Π.Ε. Θάσου
- 32 κρούσματα στην Π.Ε. Θεσπρωτίας
- 20 κρούσματα στην Π.Ε. Θήρας
- 4 κρούσματα στην Π.Ε. Ιθάκης
- 11 κρούσματα στην Π.Ε. Ικαρίας
- 41 κρούσματα στην Π.Ε. Ιωαννίνων
- 99 κρούσματα στην Π.Ε. Καβάλας
- 20 κρούσματα στην Π.Ε. Καλύμνου
- 14 κρούσματα στην Π.Ε. Καρδίτσας
- 7 κρούσμα στην Π.Ε. Καρπάθου
- 10 κρούσματα στην Π.Ε. Καστοριάς
- 66 κρούσματα στην Π.Ε. Κέρκυρας
- 12 κρούσματα στην Π.Ε. Κεφαλληνίας
- 19 κρούσματα στην Π.Ε. Κιλκίς
- 105 κρούσματα στην Π.Ε Κοζάνης
- 78 κρούσματα στην Π.Ε. Κορινθίας
- 10 κρούσματα στην Π.Ε. Κω
- 45 κρούσματα στην Π.Ε. Λακωνίας
- 69 κρούσματα στην Π.Ε Λάρισας
- 20 κρούσματα στην Π.Ε. Λασιθίου
- 60 κρούσματα στην Π.Ε. Λέσβου
- 17 κρούσματα στην Π.Ε. Λευκάδας
- 4 κρούσματα στην Π.Ε. Λήμνου
- 42 κρούσματα στην Π.Ε. Μαγνησίας
- 118 κρούσματα στην Π.Ε. Μεσσηνίας
- 4 κρούσματα στην Π.Ε. Μήλου
- 29 κρούσματα στην Π.Ε. Μυκόνου
- 29 κρούσματα στην Π.Ε. Νάξου
- 33 κρούσματα στην Π.Ε. Ξάνθης
- 13 κρούσματα στην Π.Ε. Πάρου
- 33 κρούσματα στην Π.Ε. Πέλλας
- 44 κρούσματα στην Π.Ε. Πιερίας
- 36 κρούσματα στην Π.Ε. Πρέβεζας
- 86 κρούσματα στην Π.Ε. Ρεθύμνου
- 18 κρούσματα στην Π.Ε. Ροδόπης
- 150 κρούσματα στην ΠΕ Ρόδου
- 2 κρούσματα στην Π.Ε. Σάμου
- 35 κρούσματα στην Π.Ε. Σερρών
- 9 κρούσματα στην Π.Ε. Σποράδων
- 5 κρούσματα στην Π.Ε. Σύρου
- 3 κρούσματα στην Π.Ε. Τήνου
- 44 κρούσματα στην Π.Ε. Τρικάλων
- 33 κρούσματα στην Π.Ε. Φθιώτιδας
- 33 κρούσματα στην Π.Ε. Φλώρινας
- 10 κρούσματα στην Π.Ε. Φωκίδας
- 44 κρούσματα στην Π.Ε. Χαλκιδικής
- 142 κρούσματα στην Π.Ε. Χανίων
- 28 κρούσματα στην Π.Ε. Χίου
- 222 κρούσματα υπό διερεύνηση

- Τραγωδία στα Τρίκαλα: Η μειωμένη βάρδια, το διάλειμμα των πέντε και η μακάβρια διαδικασία ταυτοποίησης
- Πίσω από κάθε νεκρό σε χώρο εργασίας, υπάρχει μια κοινή αλήθεια
- Πότε και πού θα «χτυπήσουν» δύο νέα κύματα κακοκαιρίας: Τι θα γίνει στην Αττική - Ανεβαίνει η θερμοκρασία
- Ιωάννα Τούνη για revenge porn: «Ντρέπεται και η ντροπή - Ο κατηγορούμενος δήλωσε ότι έχει στραβισμό»
Ακολουθήστε το Reader στα Google News για να είστε πάντα ενημερωμένοι για όλες τις ειδήσεις και τα νέα από την Ελλάδα και τον κόσμο.