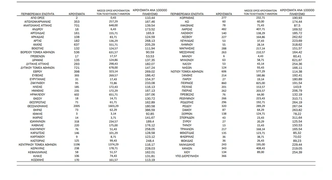
Σε υψηλά επίπεδα παραμένει ο αριθμός των νέων κρουσμάτων κορονοϊού που ανακοίνωσε ο ΕΟΔΥ σήμερα Τετάρτη 26 Ιανουαρίου 2022. Η Αττική είναι η πιο επιβαρυμένη επιδημιολογικά περιφέρεια, αφού εντοπίστηκαν 5.037 μολύνσεις. Στη Θεσσαλονίκη καταγράφηκαν 2.005 κρούσματα.
Η κατανομή των κρουσμάτων στην Αττική:
- Ανατολική Αττική: 701 κρούσματα
- Βόρειος τομέας Αθηνών: 536 κρούσματα
- Δυτική Αττική: 293 κρούσματα
- Δυτικός Τομέας Αθηνών: 721 κρούσματα
- Κεντρικός τομέας Αθηνών: 1.196 κρούσματα
- Νήσων: 124 κρούσματα
- Νότιος Τομέας Αθηνών: 606 κρούσματα
- Πειραιάς: 860 κρούσματα
Η διασπορά στις περιφερειακές ενότητες όλης της χώρας:
- ΑΓΙΟ ΟΡΟΣ 2
- ΑΙΤΩΛΟΑΚΑΡΝΑΝΙΑΣ 353
- ΑΝΑΤΟΛΙΚΗΣ ΑΤΤΙΚΗΣ 701
- ΑΝΔΡΟΥ 16
- ΑΡΓΟΛΙΔΑΣ 161
- ΑΡΚΑΔΙΑΣ 108
- ΑΡΤΑΣ 182
- ΑΧΑΪΑΣ 637
- ΒΟΙΩΤΙΑΣ 132
- ΒΟΡΕΙΟΥ ΤΟΜΕΑ ΑΘΗΝΩΝ 536
- ΓΡΕΒΕΝΩΝ 17
- ΔΡΑΜΑΣ 135
- ΔΥΤΙΚΗΣ ΑΤΤΙΚΗΣ 293
- ΔΥΤΙΚΟΥ ΤΟΜΕΑ ΑΘΗΝΩΝ 721
- ΕΒΡΟΥ 398
- ΕΥΒΟΙΑΣ 393
- ΕΥΡΥΤΑΝΙΑΣ 31
- ΖΑΚΥΝΘΟΥ 95
- ΗΛΕΙΑΣ 185
- ΗΜΑΘΙΑΣ 235
- ΗΡΑΚΛΕΙΟΥ 602
- ΘΑΣΟΥ 18
- ΘΕΣΠΡΩΤΙΑΣ 71
- ΘΕΣΣΑΛΟΝΙΚΗΣ 2.005
- ΘΗΡΑΣ 73
- ΙΘΑΚΗΣ 3
- ΙΚΑΡΙΑΣ 14
- ΙΩΑΝΝΙΝΩΝ 318
- ΚΑΒΑΛΑΣ 220
- ΚΑΛΥΜΝΟΥ 76
- ΚΑΡΔΙΤΣΑΣ 146
- ΚΑΡΠΑΘΟΥ 9
- ΚΑΣΤΟΡΙΑΣ 125
- ΚΕΝΤΡΙΚΟΥ ΤΟΜΕΑ ΑΘΗΝΩΝ 1.196
- ΚΕΡΚΥΡΑΣ 238
- ΚΕΦΑΛΛΗΝΙΑΣ 58
- ΚΙΛΚΙΣ 106
- ΚΟΖΑΝΗΣ 170
- ΚΟΡΙΝΘΙΑΣ 277
- ΚΩ 60
- ΛΑΚΩΝΙΑΣ 78
- ΛΑΡΙΣΑΣ 482
- ΛΑΣΙΘΙΟΥ 140
- ΛΕΣΒΟΥ 227
- ΛΕΥΚΑΔΑΣ 53
- ΛΗΜΝΟΥ 55
- ΜΑΓΝΗΣΙΑΣ 288
- ΜΕΣΣΗΝΙΑΣ 263
- ΜΗΛΟΥ 6
- ΜΥΚΟΝΟΥ 63
- ΝΑΞΟΥ 53
- ΝΗΣΩΝ 124
- ΝΟΤΙΟΥ ΤΟΜΕΑ ΑΘΗΝΩΝ 606
- ΞΑΝΘΗΣ 214
- ΠΑΡΟΥ 27
- ΠΕΙΡΑΙΩΣ 860
- ΠΕΛΛΑΣ 201
- ΠΙΕΡΙΑΣ 262
- ΠΡΕΒΕΖΑΣ 76
- ΡΕΘΥΜΝΟΥ 266
- ΡΟΔΟΠΗΣ 296
- ΡΟΔΟΥ 320
- ΣΑΜΟΥ 87
- ΣΕΡΡΩΝ 138
- ΣΠΟΡΑΔΩΝ 43
- ΣΥΡΟΥ 27
- ΤΗΝΟΥ 13
- ΤΡΙΚΑΛΩΝ 217
- ΦΘΙΩΤΙΔΑΣ 135
- ΦΛΩΡΙΝΑΣ 36
- ΦΩΚΙΔΑΣ 36
- ΧΑΛΚΙΔΙΚΗΣ 243
- ΧΑΝΙΩΝ 343
- ΧΙΟΥ 134
- ΥΠΟ ΔΙΕΡΕΥΝΗΣΗ 366

- Ατύχημα για τον Akyla λίγο πριν τον Τελικό της Eurovision: «Πονάω λίγο σήμερα»
- Μαριάννα Καλλέργη για Survivor: «Ήμουν σαν πτώμα, με έσερναν - Η παραγωγή ήταν έξαλλη που πήγα νοσοκομείο»
- Ο Βασίλης Τσεκούρας πήρε το τιμόνι του Live News: Τι είπε για την απουσία του Νίκου Ευαγγελάτου
- Ντόρα και Αλεξία Μπακογιάννη: Η κοινή ανακοίνωση για την καταδίκη του Στέφανου Χίου - «Δεν είναι μόνο προσωπική δικαίωση»
Ακολουθήστε το Reader στα Google News για να είστε πάντα ενημερωμένοι για όλες τις ειδήσεις και τα νέα από την Ελλάδα και τον κόσμο.