Εκτός πανεπιστημίων έμειναν 40.299 υποψήφιοι, σύμφωνα με τα αποτελέσματα για τις βάσεις του 2021, που ανακοινώθηκαν από το υπουργείο Παιδείας. Συγκεκριμένα από τους 103.468 που έδωσαν εξετάσεις, «εισιτήριο» για κάποια σχολή πήραν οι 63.059. Οι εκτιμήσεις ουσιαστικά επιβεβαιώθηκαν που έκαναν λόγο για άνοδο των βάσεων με αποτέλεσμα αρκετοί από τους υποψηφίους να αποκλειστούν από την πανεπιστημιακή εκπαίδευση, με την Ελάχιστη Βάση Εισαγωγής και τα νέα «δεδομένα» της συμπλήρωσης των μηχανογραφικών να συνδράμουν στις πολλές κενές θέσεις.
Διαβάστε ακόμη: Οι πίνακες με τα αποτελέσματα - Στα ύψη πολλές σχολές (αναλυτικά τα μόρια)
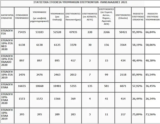
Συνολικά 56.942 είναι οι νέοι φοιτητές στα πανεπιστήμια από τους 92.090 υποψήφιους, σύμφωνα με τα στοιχεία που έδωσε το υπουργείο Παιδείας λίγο αφού ανακοινώθηκαν οι βάσεις εισαγωγής στα πανεπιστήμια. Επίσης, 8.594 υποψήφιοι πέρασαν στα δημόσια ΙΕΚ μέσω του παράλληλου μηχανογραφικού.
Σύμφωνα με τα ίδια στοιχεία, σε σχέση με το 2020, πέρασαν σε ΑΕΙ 13.780 λιγότεροι υποψήφιοι (35.148 – 21.368). Με επιδόσεις χαμηλότερες από 7 στα 20 για τα ΓΕΛ και 5,5 στα 20 για τα ΕΠΑΛ, ένας υποψήφιος δεν εισάγεται πλέον στα πανεπιστήμια. Το 2020 υποψήφιος από ημερήσιο ΓΕΛ εισήχθη σε ΑΕΙ με 0,625/20 και από ημερήσιο ΕΠΑΛ με 2,7/20. Το 2021 η χαμηλότερη βάση εισαγωγής ΓΕΛ είναι 7,141/20 και στα ημερήσια ΕΠΑΛ 5,685/20.
Τα στοιχεία δείχνουν ακόμη πως το 95,98% των υποψηφίων των ΓΕΛ που ξεπέρασαν την ΕΒΕ και υπέβαλαν μηχανογραφικό, πέτυχαν την εισαγωγή τους σε Σχολές/Τμήματα ΑΕΙ. Από την ανάλυση προκύπτει ακόμη πως υπάρχουν Σχολές και Τμήματα που έχουν πολύ λιγότερους εισαχθέντες και αυτό, σύμφωνα με το υπουργείο Παιδείας, αυτό οφείλεται: 1) Στο συντελεστή ΕΒΕ που όρισαν τα ίδια και στις επιδόσεις των υποψηφίων. 2) Στη μη επιλογή τους από τους υποψηφίους.
Επισημαίνεται ακόμη πως πάνω από 22.000 υποψήφιοι επέλεξαν ειδικότητες στα δημόσια ΙΕΚ της χώρας. Μάλιστα το 26% αυτών επέλεξαν ΔΙΕΚ σε άλλη περιφέρεια από αυτή της κατοικίας τους, ενώ τον Σεπτέμβριο θα υπάρχει η δυνατότητα πρόσθετης υποβολής αίτησης για περίπου 20.000 επιπλέον θέσεις στα δημόσια ΙΕΚ.
Αναλυτικά μπορείτε να δείτε τα αποτελέσματα των βάσεων:
5. ΣΤΑΤΙΣΤΙΚΑ αλλογενεις προτιμήσεις



- Καιρός: Νέα πτώση της θερμοκρασίας τις επόμενες 24 ώρες - Πότε θα δούμε και πάλι άνοιξη
- «Τώρα καταλαβαίνω τους Έλληνες»: Η απογοήτευση τουρίστα για τα 30 ευρώ που έδωσε για να δει την Ακρόπολη
- Πού βρίσκεται σήμερα η Σία Λιαροπούλου - Γιατί εξαφανίστηκε από τη μικρή οθόνη
- Παπουτσάκη σε Λιάγκα: «Συγγνώμη, έχεις καταλάβει τι κάνουν οι ηθοποιοί στην Ελλάδα;»
Ακολουθήστε το Reader στα Google News για να είστε πάντα ενημερωμένοι για όλες τις ειδήσεις και τα νέα από την Ελλάδα και τον κόσμο.