Παραμένουν υψηλά τα ημερήσια κρούσματα του κορονοϊού στη χώρα μας ενώ ιδιαίτερα ανησυχητική είναι η αύξηση σε θανάτους (87) και διασωληνωμένους (561). Σύμφωνα με την ανακοίνωση του ΕΟΔΥ, καταγράφηκαν 6.682 νέα κρούσματα κορονοϊού σήμερα, Τετάρτη 17 Νοεμβρίου. Παράλληλα ανακοίνωσε 561 διασωληνωμένους στα νοσοκομεία, ενώ κατά το τελευταίο 24ωρο καταγράφηκαν 87 θάνατοι. Μεταξύ των ασθενών που νοσηλεύονται διασωληνωμένοι, 466 (83.07%) είναι ανεμβολίαστοι ή μερικώς εμβολιασμένοι και 95 (16.93%) είναι πλήρως εμβολιασμένοι.
Αναλυτικά η ανακοίνωση του ΕΟΔΥ: «Τα νέα εργαστηριακά επιβεβαιωμένα κρούσματα της νόσου που καταγράφηκαν τις τελευταίες 24 ώρες είναι 6.682, εκ των οποίων 6 εντοπίστηκαν κατόπιν ελέγχων στις πύλες εισόδου της χώρας. Ο συνολικός αριθμός των κρουσμάτων ανέρχεται σε 853.841 (ημερήσια μεταβολή +0.8%), εκ των οποίων 50.7% άνδρες. Με βάση τα επιβεβαιωμένα κρούσματα των τελευταίων 7 ημερών, 100 θεωρούνται σχετιζόμενα με ταξίδι από το εξωτερικό και 2.625 είναι σχετιζόμενα με ήδη γνωστό κρούσμα. To 𝑅𝑡 για την επικράτεια βάσει των κρουσμάτων εκτιμάται σε 1.11 (95% ΔΕ: 1.02 - 1.20).
Οι νέοι θάνατοι ασθενών με COVID-19 είναι 87, ενώ από την έναρξη της επιδημίας έχουν καταγραφεί συνολικά 17.012 θάνατοι. Το 95.3% είχε υποκείμενο νόσημα ή/και ηλικία 70 ετών και άνω.
Ο αριθμός των ασθενών που νοσηλεύονται διασωληνωμένοι είναι 561 (61.7% άνδρες). Η διάμεση ηλικία τους είναι 65 έτη. To 84.8% έχει υποκείμενο νόσημα ή/και ηλικία 70 ετών και άνω. Μεταξύ των ασθενών που νοσηλεύονται διασωληνωμένοι, 466 (83.07%) είναι ανεμβολίαστοι ή μερικώς εμβολιασμένοι και 95 (16.93%) είναι πλήρως εμβολιασμένοι. Από την αρχή της πανδημίας έχουν εξέλθει από τις ΜΕΘ 3.419 ασθενείς. Οι εισαγωγές νέων ασθενών Covid-19 στα νοσοκομεία της επικράτειας είναι 474 (ημερήσια μεταβολή +7.24%). Ο μέσος όρος εισαγωγών του επταημέρου είναι 421 ασθενείς. Η διάμεση ηλικία των κρουσμάτων είναι 38 έτη (εύρος 0.2 έως 106 έτη), ενώ η διάμεση ηλικία των θανόντων είναι 78 έτη (εύρος 0.2 έως 106 έτη)
Η γεωγραφική κατανομή
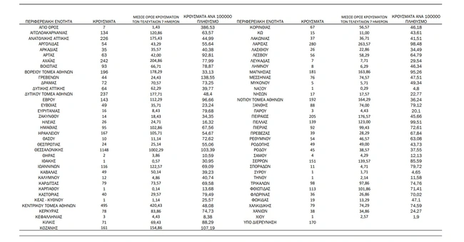
Στην Αττική εντοπίστηκαν για μία ακόμη φορά τα περισσότερα από τα 6.682 κρούσματα κορονοϊού που ανακοίνωσε σήμερα Τετάρτη 17 Νοεμβρίου, ο ΕΟΔΥ. Για την ακρίβεια, στην Αττική βρέθηκαν 1.632 μολύνσεις, ενώ ακολουθεί η Θεσσαλονίκη με 1.148 κρούσματα. Παράλληλα, ιδιαίτερα υψηλός είναι ο αριθμός των νέων κρουσμάτων στη Λάρισα όπου ανιχνεύτηκαν 280, ενώ ακολουθούν η Αχαΐα με 242, η Μαγνησία με 181, το Ηράκλειο με 167 και οι Σέρρες με 151.
- Ανατολική Αττική: 226 κρούσματα
- Βόρειος τομέας Αθηνών: 196 κρούσματα
- Δυτική Αττική: 64 κρούσματα
- Δυτικός τομέας Αθηνών: 237 κρούσματα
- Κεντρικός τομέας Αθηνών: 495 κρούσματα
- Νήσων: 17 κρούσματα
- Νότιος τομέας Αθηνών: 192 κρούσματα
- Πειραιάς: 205 κρούσματα
Αναλυτικά, η κατανομή σε όλη τη χώρα:
- ΑΓΙΟ ΟΡΟΣ: 7
- ΑΙΤΩΛΟΑΚΑΡΝΑΝΙΑΣ: 134
- ΑΝΑΤΟΛΙΚΗΣ ΑΤΤΙΚΗΣ: 226
- ΑΡΓΟΛΙΔΑΣ: 54
- ΑΡΚΑΔΙΑΣ: 35
- ΑΡΤΑΣ: 63
- ΑΧΑΪΑΣ: 242
- ΒΟΙΩΤΙΑΣ: 93
- ΒΟΡΕΙΟΥ ΤΟΜΕΑ ΑΘΗΝΩΝ: 196
- ΓΡΕΒΕΝΩΝ: 44
- ΔΡΑΜΑΣ: 72
- ΔΥΤΙΚΗΣ ΑΤΤΙΚΗΣ: 64
- ΔΥΤΙΚΟΥ ΤΟΜΕΑ ΑΘΗΝΩΝ: 237
- ΕΒΡΟΥ: 143
- ΕΥΒΟΙΑΣ: 49
- ΕΥΡΥΤΑΝΙΑΣ: 16
- ΖΑΚΥΝΘΟΥ: 14
- ΗΛΕΙΑΣ: 26
- ΗΜΑΘΙΑΣ: 95
- ΗΡΑΚΛΕΙΟΥ: 167
- ΘΑΣΟΥ: 10
- ΘΕΣΠΡΩΤΙΑΣ: 24
- ΘΕΣΣΑΛΟΝΙΚΗΣ: 1.148
- ΘΗΡΑΣ: 2
- ΙΘΑΚΗΣ: 1
- ΙΩΑΝΝΙΝΩΝ: 115
- ΚΑΒΑΛΑΣ: 49
- ΚΑΛΥΜΝΟΥ: 12
- ΚΑΡΔΙΤΣΑΣ: 79
- ΚΑΡΠΑΘΟΥ: 1
- ΚΑΣΤΟΡΙΑΣ: 40
- ΚΕΑΣ-ΚΥΘΝΟΥ: 1
- ΚΕΝΤΡΙΚΟΥ ΤΟΜΕΑ ΑΘΗΝΩΝ: 495
- ΚΕΡΚΥΡΑΣ: 78
- ΚΕΦΑΛΛΗΝΙΑΣ: 3
- ΚΙΛΚΙΣ: 71
- ΚΟΖΑΝΗΣ: 161
- ΚΟΡΙΝΘΙΑΣ: 67
- ΚΩ: 15
- ΛΑΚΩΝΙΑΣ: 37
- ΛΑΡΙΣΑΣ: 280
- ΛΑΣΙΘΙΟΥ: 26
- ΛΕΣΒΟΥ: 56
- ΛΕΥΚΑΔΑΣ: 7
- ΛΗΜΝΟΥ: 8
- ΜΑΓΝΗΣΙΑΣ: 181
- ΜΕΣΣΗΝΙΑΣ: 76
- ΜΥΚΟΝΟΥ: 5
- ΝΑΞΟΥ: 1
- ΝΗΣΩΝ: 17
- ΝΟΤΙΟΥ ΤΟΜΕΑ ΑΘΗΝΩΝ: 192
- ΞΑΝΘΗΣ: 88
- ΠΑΡΟΥ: 3
- ΠΕΙΡΑΙΩΣ: 205
- ΠΕΛΛΑΣ: 139
- ΠΙΕΡΙΑΣ: 92
- ΠΡΕΒΕΖΑΣ: 39
- ΡΕΘΥΜΝΟΥ: 54
- ΡΟΔΟΠΗΣ: 49
- ΡΟΔΟΥ: 45
- ΣΑΜΟΥ: 4
- ΣΕΡΡΩΝ: 151
- ΣΠΟΡΑΔΩΝ: 11
- ΣΥΡΟΥ: 1
- ΤΗΝΟΥ: 1
- ΤΡΙΚΑΛΩΝ: 98
- ΦΘΙΩΤΙΔΑΣ: 113
- ΦΛΩΡΙΝΑΣ: 36
- ΦΩΚΙΔΑΣ: 19
- ΧΑΛΚΙΔΙΚΗΣ: 79
- ΧΑΝΙΩΝ: 38
- ΧΙΟΥ: 1
- ΥΠΟ ΔΙΕΡΕΥΝΗΣΗ: 170

- Φόβοι για serial killer στη Θεσσαλονίκη: Την εμπλοκή του 52χρονου και στη δεύτερη νεκρή εξετάζουν οι αρχές
- Lane Assist: Πώς λειτουργεί το σύστημα που φέρεται να μπλόκαρε το τιμόνι στη Ρουμανία
- Το πρόβλημα που δεν στάθμισε η Καρυστιανού, η άνω τελεία στην Όλγα και οι ανατροπές λόγω των τραγωδιών
- Φάνης Λαμπρόπουλος: Τα πρώτα σχόλια για την αποχώρηση της Ελένης Βουλγαράκη - «Δεν ήταν εύκολο»
Ακολουθήστε το Reader στα Google News για να είστε πάντα ενημερωμένοι για όλες τις ειδήσεις και τα νέα από την Ελλάδα και τον κόσμο.