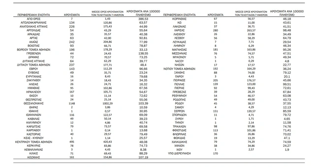
Στην Αττική εντοπίστηκαν για μία ακόμη φορά τα περισσότερα από τα 6.682 κρούσματα κορονοϊού που ανακοίνωσε σήμερα Τετάρτη 17 Νοεμβρίου, ο ΕΟΔΥ. Για την ακρίβεια, στην Αττική βρέθηκαν 1.632 μολύνσεις, ενώ ακολουθεί η Θεσσαλονίκη με 1.148 κρούσματα. Παράλληλα, ιδιαίτερα υψηλός είναι ο αριθμός των νέων κρουσμάτων στη Λάρισα όπου ανιχνεύτηκαν 280, ενώ ακολουθούν η Αχαΐα με 242, η Μαγνησία με 181, το Ηράκλειο με 167 και οι Σέρρες με 151.
- Ανατολική Αττική: 226 κρούσματα
- Βόρειος τομέας Αθηνών: 196 κρούσματα
- Δυτική Αττική: 64 κρούσματα
- Δυτικός τομέας Αθηνών: 237 κρούσματα
- Κεντρικός τομέας Αθηνών: 495 κρούσματα
- Νήσων: 17 κρούσματα
- Νότιος τομέας Αθηνών: 192 κρούσματα
- Πειραιάς: 205 κρούσματα
Αναλυτικά, η κατανομή σε όλη τη χώρα:
- ΑΓΙΟ ΟΡΟΣ: 7
- ΑΙΤΩΛΟΑΚΑΡΝΑΝΙΑΣ: 134
- ΑΝΑΤΟΛΙΚΗΣ ΑΤΤΙΚΗΣ: 226
- ΑΡΓΟΛΙΔΑΣ: 54
- ΑΡΚΑΔΙΑΣ: 35
- ΑΡΤΑΣ: 63
- ΑΧΑΪΑΣ: 242
- ΒΟΙΩΤΙΑΣ: 93
- ΒΟΡΕΙΟΥ ΤΟΜΕΑ ΑΘΗΝΩΝ: 196
- ΓΡΕΒΕΝΩΝ: 44
- ΔΡΑΜΑΣ: 72
- ΔΥΤΙΚΗΣ ΑΤΤΙΚΗΣ: 64
- ΔΥΤΙΚΟΥ ΤΟΜΕΑ ΑΘΗΝΩΝ: 237
- ΕΒΡΟΥ: 143
- ΕΥΒΟΙΑΣ: 49
- ΕΥΡΥΤΑΝΙΑΣ: 16
- ΖΑΚΥΝΘΟΥ: 14
- ΗΛΕΙΑΣ: 26
- ΗΜΑΘΙΑΣ: 95
- ΗΡΑΚΛΕΙΟΥ: 167
- ΘΑΣΟΥ: 10
- ΘΕΣΠΡΩΤΙΑΣ: 24
- ΘΕΣΣΑΛΟΝΙΚΗΣ: 1.148
- ΘΗΡΑΣ: 2
- ΙΘΑΚΗΣ: 1
- ΙΩΑΝΝΙΝΩΝ: 115
- ΚΑΒΑΛΑΣ: 49
- ΚΑΛΥΜΝΟΥ: 12
- ΚΑΡΔΙΤΣΑΣ: 79
- ΚΑΡΠΑΘΟΥ: 1
- ΚΑΣΤΟΡΙΑΣ: 40
- ΚΕΑΣ-ΚΥΘΝΟΥ: 1
- ΚΕΝΤΡΙΚΟΥ ΤΟΜΕΑ ΑΘΗΝΩΝ: 495
- ΚΕΡΚΥΡΑΣ: 78
- ΚΕΦΑΛΛΗΝΙΑΣ: 3
- ΚΙΛΚΙΣ: 71
- ΚΟΖΑΝΗΣ: 161
- ΚΟΡΙΝΘΙΑΣ: 67
- ΚΩ: 15
- ΛΑΚΩΝΙΑΣ: 37
- ΛΑΡΙΣΑΣ: 280
- ΛΑΣΙΘΙΟΥ: 26
- ΛΕΣΒΟΥ: 56
- ΛΕΥΚΑΔΑΣ: 7
- ΛΗΜΝΟΥ: 8
- ΜΑΓΝΗΣΙΑΣ: 181
- ΜΕΣΣΗΝΙΑΣ: 76
- ΜΥΚΟΝΟΥ: 5
- ΝΑΞΟΥ: 1
- ΝΗΣΩΝ: 17
- ΝΟΤΙΟΥ ΤΟΜΕΑ ΑΘΗΝΩΝ: 192
- ΞΑΝΘΗΣ: 88
- ΠΑΡΟΥ: 3
- ΠΕΙΡΑΙΩΣ: 205
- ΠΕΛΛΑΣ: 139
- ΠΙΕΡΙΑΣ: 92
- ΠΡΕΒΕΖΑΣ: 39
- ΡΕΘΥΜΝΟΥ: 54
- ΡΟΔΟΠΗΣ: 49
- ΡΟΔΟΥ: 45
- ΣΑΜΟΥ: 4
- ΣΕΡΡΩΝ: 151
- ΣΠΟΡΑΔΩΝ: 11
- ΣΥΡΟΥ: 1
- ΤΗΝΟΥ: 1
- ΤΡΙΚΑΛΩΝ: 98
- ΦΘΙΩΤΙΔΑΣ: 113
- ΦΛΩΡΙΝΑΣ: 36
- ΦΩΚΙΔΑΣ: 19
- ΧΑΛΚΙΔΙΚΗΣ: 79
- ΧΑΝΙΩΝ: 38
- ΧΙΟΥ: 1
- ΥΠΟ ΔΙΕΡΕΥΝΗΣΗ: 170

- Η Βαλέρια Λάτσιου ενηλικιώθηκε: Η ανάρτηση της Ελένης Μενεγάκη με τις τρομερές ομοιότητες
- Έκρηξη στο εργοστάσιο Βιολάντα: Ελεύθεροι οι τρεις συλληφθέντες - Τέσσερις ώρες κατέθεταν
- «Δεν διέθετε lane assist» λέει ο δικηγόρος της εταιρίας ενοικίασης του βαν των φιλάθλων του ΠΑΟΚ
- Θλίψη στο ΠΑΣΟΚ: Πέθανε η υποψήφια βουλεύτρια Αριστέα Καζάκου σε ηλικία 40 ετών
Ακολουθήστε το Reader στα Google News για να είστε πάντα ενημερωμένοι για όλες τις ειδήσεις και τα νέα από την Ελλάδα και τον κόσμο.