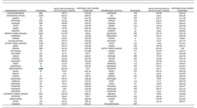
Σε υψηλά επίπεδα εξακολουθεί να βρίσκεται ο αριθμός των νέων κρουσμάτων κορονοϊού που ανακοίνωσε ο ΕΟΔΥ σήμερα Τρίτη 22 Μαρτίου 2022. Η Αττική, όπως προκύπτει από τη γεωγραφική κατανομή, είναι η πιο επιβαρυμένη επιδημιολογικά περιφέρεια, αφού εντοπίστηκαν 9.647 μολύνσεις. Παράλληλα, στη Θεσσαλονίκη καταγράφηκαν 2.798 κρούσματα.
Αναλυτικά, τα κρούσματα στην Αττική:
- Ανατολική Αττική: 1.339 κρούσματα
- Βόρειος τομέας Αθηνών: 1.691 κρούσματα
- Δυτική Αττική: 394 κρούσματα
- Δυτικός Τομέας Αθηνών: 1.128 κρούσματα
- Κεντρικός τομέας Αθηνών: 2.661 κρούσματα
- Νήσων: 198 κρούσματα
- Νότιος Τομέας Αθηνών: 1.155 κρούσματα
- Πειραιάς: 1.081 κρούσματα
Η κατανομή των κρουσμάτων κορονοϊού σε όλη τη χώρα:
- ΑΙΤΩΛΟΑΚΑΡΝΑΝΙΑΣ 582
- ΑΝΑΤΟΛΙΚΗΣ ΑΤΤΙΚΗΣ 1.339
- ΑΝΔΡΟΥ 32
- ΑΡΓΟΛΙΔΑΣ 203
- ΑΡΚΑΔΙΑΣ 199
- ΑΡΤΑΣ 90
- ΑΧΑΪΑΣ 622
- ΒΟΙΩΤΙΑΣ 300
- ΒΟΡΕΙΟΥ ΤΟΜΕΑ ΑΘΗΝΩΝ 1.691
- ΓΡΕΒΕΝΩΝ 46
- ΔΡΑΜΑΣ 162
- ΔΥΤΙΚΗΣ ΑΤΤΙΚΗΣ 394
- ΔΥΤΙΚΟΥ ΤΟΜΕΑ ΑΘΗΝΩΝ 1.128
- ΕΒΡΟΥ 230
- ΕΥΒΟΙΑΣ 489
- ΕΥΡΥΤΑΝΙΑΣ 55
- ΖΑΚΥΝΘΟΥ 103
- ΗΛΕΙΑΣ 309
- ΗΜΑΘΙΑΣ 343
- ΗΡΑΚΛΕΙΟΥ 1.032
- ΘΑΣΟΥ 45
- ΘΕΣΠΡΩΤΙΑΣ 79
- ΘΕΣΣΑΛΟΝΙΚΗΣ 2.798
- ΘΗΡΑΣ 85
- ΙΘΑΚΗΣ 2
- ΙΚΑΡΙΑΣ 73
- ΙΩΑΝΝΙΝΩΝ 320
- ΚΑΒΑΛΑΣ 213
- ΚΑΛΥΜΝΟΥ 85
- ΚΑΡΔΙΤΣΑΣ 185
- ΚΑΡΠΑΘΟΥ 11
- ΚΑΣΤΟΡΙΑΣ 57
- ΚΕΝΤΡΙΚΟΥ ΤΟΜΕΑ ΑΘΗΝΩΝ 2.661
- ΚΕΡΚΥΡΑΣ 246
- ΚΕΦΑΛΛΗΝΙΑΣ 94
- ΚΙΛΚΙΣ 136
- ΚΟΖΑΝΗΣ 453
- ΚΟΡΙΝΘΙΑΣ 358
- ΚΩ 104
- ΛΑΚΩΝΙΑΣ 242
- ΛΑΡΙΣΑΣ 734
- ΛΑΣΙΘΙΟΥ 231
- ΛΕΣΒΟΥ 156
- ΛΕΥΚΑΔΑΣ 65
- ΛΗΜΝΟΥ 50
- ΜΑΓΝΗΣΙΑΣ 486
- ΜΕΣΣΗΝΙΑΣ 399
- ΜΗΛΟΥ 9
- ΜΥΚΟΝΟΥ 17
- ΝΑΞΟΥ 107
- ΝΗΣΩΝ 198
- ΝΟΤΙΟΥ ΤΟΜΕΑ ΑΘΗΝΩΝ 1.155
- ΞΑΝΘΗΣ 171
- ΠΑΡΟΥ 82
- ΠΕΙΡΑΙΩΣ 1081
- ΠΕΛΛΑΣ 284
- ΠΙΕΡΙΑΣ 172
- ΠΡΕΒΕΖΑΣ 113
- ΡΕΘΥΜΝΟΥ 208
- ΡΟΔΟΠΗΣ 116
- ΡΟΔΟΥ 222
- ΣΑΜΟΥ 51
- ΣΕΡΡΩΝ 297
- ΣΠΟΡΑΔΩΝ 47
- ΣΥΡΟΥ 112
- ΤΗΝΟΥ 35
- ΤΡΙΚΑΛΩΝ 386
- ΦΘΙΩΤΙΔΑΣ 382
- ΦΛΩΡΙΝΑΣ 123
- ΦΩΚΙΔΑΣ 54
- ΧΑΛΚΙΔΙΚΗΣ 248
- ΧΑΝΙΩΝ 534
- ΧΙΟΥ 153
- ΥΠΟ ΔΙΕΡΕΥΝΗΣΗ 684

- Το πέσιμο ΠΑΣΟΚ στους δημοσκόπους, η δύναμη του Τσίπρα στην Αττική και το λάθος του Γιούνκερ
- Survivor: Τα πρώτα λόγια του Σταύρου Φλώρου - «Μαμά, τι να στεναχωριέμαι; Ζω, όλα τα άλλα θα τα δούμε»
- Ηλιούπολη: Σε εξαιρετικά κρίσιμη κατάσταση η επιζήσασα - Το «κενό των 3 ωρών» που εξετάζεται
- Φρικτή υπόθεση στο Περιστέρι: 6 παιδιά ζούσαν μέσα σε ακαθαρσίες - Συνελήφθησαν οι γονείς
Ακολουθήστε το Reader στα Google News για να είστε πάντα ενημερωμένοι για όλες τις ειδήσεις και τα νέα από την Ελλάδα και τον κόσμο.