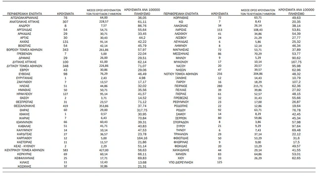
Σε υψηλά επίπεδα εξακολουθεί να βρίσκεται ο αριθμός των νέων κρουσμάτων κορονοϊού που ανακοίνωσε ο ΕΟΔΥ σήμερα Πέμπτη 12 Μαΐου 2022. Η Αττική, όπως προκύπτει από τη γεωγραφική κατανομή, είναι η πιο επιβαρυμένη επιδημιολογικά περιφέρεια, αφού εντοπίστηκαν 2.213 μολύνσεις. Παράλληλα, στη Θεσσαλονίκη καταγράφηκαν 455 κρούσματα.
Διαβάστε ακόμη: Κορονοϊός: 4.782 νέα κρούσματα, 18 θάνατοι και 180 διασωληνωμένοι
Ανατολική Αττική: 307 κρούσματα
Βόρειος Τομέας Αθηνών: 343 κρούσματα
Δυτική Αττική: 100 κρούσματα
Δυτικός Τομέας Αθηνών: 348 κρούσματα
Κεντρικός Τομέας Αθηνών: 583 κρούσματα
Νότιος Τομέας Αθηνών: 256 κρούσματα

- Οι μουσικοί από τις Τρύπες απάντησαν στους Metallica: Το σχόλιο για το «Δεν χωράς πουθενά» στο ΟΑΚΑ
- Φρίκη στο Ηράκλειο: Παρέσυρε με το αυτοκίνητο τη σύζυγό του μπροστά στα ανήλικα παιδιά τους
- Κάρλος Κάιζερ: Ο μεγαλύτερος απατεώνας στην ιστορία του ποδοσφαίρου
- Μεθυσμένος ο δράστης που πυροβόλησε τη γυναίκα στις Τζιτζιφιές: Νοσηλεύεται με σοβαρά τραύματα στο λαιμό
Ακολουθήστε το Reader στα Google News για να είστε πάντα ενημερωμένοι για όλες τις ειδήσεις και τα νέα από την Ελλάδα και τον κόσμο.