Τα νέα εργαστηριακά επιβεβαιωμένα κρούσματα του κορονοϊού που καταγράφηκαν τις τελευταίες 24 ώρες, σύμφωνα με τον ΕΟΔΥ, είναι 2.794, εκ των οποίων 7 εντοπίστηκαν κατόπιν ελέγχων στις πύλες εισόδου της χώρας. Παράλληλα, καταγράφηκαν 6 θάνατοι, ενώ 132 συμπολίτες μας νοσηλεύονται διασωληνωμένοι στις ΜΕΘ.
Διαβάστε ακόμα: Κορονοϊός: 1.190 κρούσματα στην Αττική, 310 στην Κρήτη και 198 στην Θεσσαλονίκη - Η γεωγραφική κατανομή
Αναλυτικά, ο συνολικός αριθμός των κρουσμάτων ανέρχεται σε 450.512 (ημερήσια μεταβολή +0.6%), εκ των οποίων 51.2% άνδρες. Με βάση τα επιβεβαιωμένα κρούσματα των τελευταίων 7 ημερών, 159 θεωρούνται σχετιζόμενα με ταξίδι από το εξωτερικό και 1.633 είναι σχετιζόμενα με ήδη γνωστό κρούσμα.
Οι νέοι θάνατοι ασθενών με COVID-19 είναι 6, ενώ από την έναρξη της επιδημίας έχουν καταγραφεί συνολικά 12.819 θάνατοι. Το 95.2% είχε υποκείμενο νόσημα ή/και ηλικία 70 ετών και άνω
Ο αριθμός των ασθενών που νοσηλεύονται διασωληνωμένοι είναι 132 (65.2% άνδρες). Η διάμεση ηλικία τους είναι 66 έτη. To 84.1% έχει υποκείμενο νόσημα ή/και ηλικία 70 ετών και άνω. Από την αρχή της πανδημίας έχουν εξέλθει από τις ΜΕΘ 2.740 ασθενείς. Οι εισαγωγές νέων ασθενών Covid-19 στα νοσοκομεία της επικράτειας είναι 112 (ημερήσια μεταβολή +12%). Ο μέσος όρος εισαγωγών του επταημέρου είναι 86 ασθενείς. Η διάμεση ηλικία των κρουσμάτων είναι 42 έτη (εύρος 0.2 έως 106 έτη), ενώ η διάμεση ηλικία των θανόντων είναι 78 έτη (εύρος 0.2 έως 106 έτη).
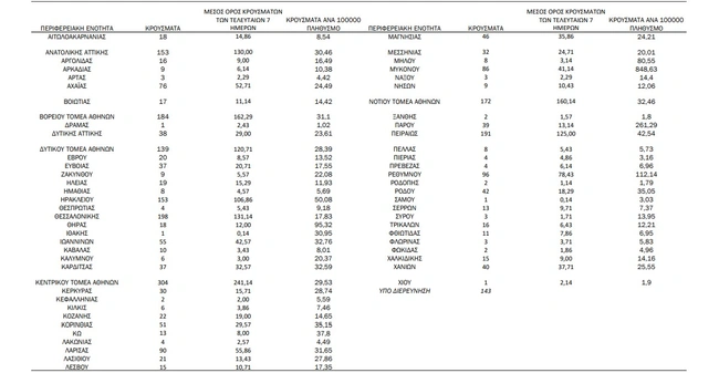
Η γεωγραφική κατανομή των κρουσμάτων
Από το σύνολο των 2.794 νέων εγχώριων κρουσμάτων που καταγράφηκαν σήμερα Πέμπτη (15/7) στην Ελλάδα, τα περισσότερα εντοπίστηκαν για ακόμη μία φορά στην Αττική που μετρά 1.190.
Tα κρούσματα στις περιφερειακές ενότητες που ανήκουν στην Αττική:
- Ανατολική Αττική: 153 κρούσματα
- Βόρειος Τομέας Αθηνών: 184 κρούσματα
- Δυτική Αττική: 38 κρούσματα
- Δυτικός Τομέας Αθηνών: 139 κρούσματα
- Κεντρικός Τομέας Αθηνών: 304 κρούσματα
- Νήσων: 9 κρούσματα
- Νότιος Τομέας Αθηνών: 172 κρούσματα
- Πειραιώς: 191 κρούσματα
Στη Θεσσαλονίκη εντοπίστηκαν 198 κρούσματα, ενώ στην Κρήτη καταγράφηκαν 310 μολύνσεις.
Αναλυτικά η γεωγραφική κατανομή των κρουσμάτων:

Οδηγίες για τον κορονoϊό
Η Γενική Γραμματεία Πολιτικής Προστασίας εξέδωσε οκτώ οδηγίες στο πλαίσιο της ενημερωτικής προσπάθειας για τον τρόπο προφύλαξης από το νέο κορονοϊό.
Οι οκτώ οδηγίες είναι οι εξής:
- Πλένουμε συχνά και σχολαστικά τα χέρια μας με σαπούνι και νερό ή αλκοολούχο διάλυμα. Γενικά αποφεύγουμε να αγγίζουμε με τα χέρια μας, τη μύτη, το στόμα και τα μάτια μας.
- Όταν βήχουμε ή φταρνιζόμαστε, καλύπτουμε το στόμα και τη μύτη μας με τον αγκώνα ή ένα χαρτομάντιλο και πλένουμε αμέσως μετά τα χέρια μας.
- Απορρίπτουμε το χαρτομάντιλο, αμέσως μετά τη χρήση, σε κλειστό κάδο.
- Αποφεύγουμε τις κοντινές επαφές όταν παρουσιάζουμε συμπτώματα κρυολογήματος (όπως βήχα, πυρετό, καταρροή, πονόλαιμο) ή με άτομα που παρουσιάζουν αυτά τα συμπτώματα και ιδιαίτερα με ηλικιωμένους ή άτομα με χρόνια νόσο.
- Αν παρουσιάζουμε συμπτώματα πυρετού, βήχα ή δυσκολίας στην αναπνοή και έχουμε ταξιδιωτικό ιστορικό σε πληττόμενη περιοχή, επικοινωνούμε με το γιατρό μας ή με τον ΕΟΔΥ (τηλ. 2105212054) και παραμένουμε σπίτι μας.
- Αν παρουσιάζουμε συμπτώματα κατά τη διάρκεια ταξιδιού, ενημερώνουμε αμέσως το πλήρωμα και αναζητούμε ιατρική βοήθεια.
- Πλένουμε τα χέρια μας: όταν μαγειρεύουμε, όταν φροντίζουμε ασθενείς, όταν ερχόμαστε σε επαφή με ζώα.
- Εμπιστευόμαστε τους ειδικούς και τους επιστήμονες για την πληροφόρησή μας.
24ωρη τηλεφωνική γραμμή από τον ΕΟΔΥ
Σε λειτουργία τέθηκε από 7 Μαρτίου το τετραψήφιο του Εθνικού Οργανισμού Δημόσιας Υγείας για τον κορονοϊό. Η τηλεφωνική γραμμή 1135 επί 24ώρου βάσεως θα παρέχει πληροφορίες σχετικά με τον νέο κορονοϊό.
Τι ορίζει ως κρούσμα ο ΕΟΔΥ
Ο Εθνικός Οργανισμός Δημόσιας Υγείας (ΕΟΔΥ) έδωσε στη δημοσιότητα τον ορισμό για το τι θεωρείται κρούσμα με βάση τα τρέχοντα επιδημιολογικά δεδομένα.
- Σήμερα στην Ελλάδα οι δύο τραυματίες από τη Ρουμανία - Με ειδική πτήση οι 7 σοροί των φιλάθλων του ΠΑΟΚ
- Καιρός: Η «Kristin» φέρνει βροχές και καταιγίδες – Οι περιοχές που θα βρεθούν στο επίκεντρο
- Πένθος για τον Γρηγόρη Aρναούτογλου: Πέθανε η μητέρα του
- Η Βαλέρια Λάτσιου ενηλικιώθηκε: Η ανάρτηση της Ελένης Μενεγάκη με τις τρομερές ομοιότητες
Ακολουθήστε το Reader στα Google News για να είστε πάντα ενημερωμένοι για όλες τις ειδήσεις και τα νέα από την Ελλάδα και τον κόσμο.