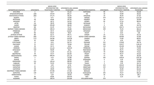
Στην Αττική εντοπίστηκαν για μία ακόμη φορά τα περισσότερα από τα 8.129 κρούσματα κορονοϊού που ανακοίνωσε σήμερα Τρίτη 16 Νοεμβρίου, ο ΕΟΔΥ. Για την ακρίβεια, στην Αττική βρέθηκαν 2.025 μολύνσεις, ενώ ακολουθεί η Θεσσαλονίκη με 1.345 κρούσματα. Παράλληλα, ιδιαίτερα υψηλός είναι ο αριθμός των νέων κρουσμάτων στη Λάρισα όπου ανιχνεύτηκαν 374, ενώ ακολουθούν η Αχαΐα με 308 και η Μαγνησία με 212.
- Ανατολική Αττική: 283 κρούσματα
- Βόρειος τομέας Αθηνών: 295 κρούσματα
- Δυτική Αττική: 80 κρούσματα
- Δυτικός τομέας Αθηνών: 265 κρούσματα
- Κεντρικός τομέας Αθηνών: 597 κρούσματα
- Νήσων: 24 κρούσματα
- Νότιος τομέας Αθηνών: 226 κρούσματα
- Πειραιάς: 255 κρούσματα
Αναλυτικά, η κατανομή σε όλη τη χώρα:
- ΑΓΙΟ ΟΡΟΣ: 1
- ΑΙΤΩΛΟΑΚΑΡΝΑΝΙΑΣ: 169
- ΑΝΑΤΟΛΙΚΗΣ ΑΤΤΙΚΗΣ: 283
- ΑΝΔΡΟΥ: 1
- ΑΡΓΟΛΙΔΑΣ: 44
- ΑΡΚΑΔΙΑΣ: 47
- ΑΡΤΑΣ: 53
- ΑΧΑΪΑΣ: 308
- ΒΟΙΩΤΙΑΣ: 89
- ΒΟΡΕΙΟΥ ΤΟΜΕΑ ΑΘΗΝΩΝ: 295
- ΓΡΕΒΕΝΩΝ: 37
- ΔΡΑΜΑΣ: 92
- ΔΥΤΙΚΗΣ ΑΤΤΙΚΗΣ: 80
- ΔΥΤΙΚΟΥ ΤΟΜΕΑ ΑΘΗΝΩΝ: 265
- ΕΒΡΟΥ: 172
- ΕΥΒΟΙΑΣ: 45
- ΕΥΡΥΤΑΝΙΑΣ: 13
- ΖΑΚΥΝΘΟΥ: 31
- ΗΛΕΙΑΣ: 36
- ΗΜΑΘΙΑΣ: 155
- ΗΡΑΚΛΕΙΟΥ: 150
- ΘΑΣΟΥ: 12
- ΘΕΣΠΡΩΤΙΑΣ: 36
- ΘΕΣΣΑΛΟΝΙΚΗΣ: 1.345
- ΘΗΡΑΣ: 3
- ΙΚΑΡΙΑΣ: 3
- ΙΩΑΝΝΙΝΩΝ: 151
- ΚΑΒΑΛΑΣ: 69
- ΚΑΛΥΜΝΟΥ: 2
- ΚΑΡΔΙΤΣΑΣ: 95
- ΚΑΣΤΟΡΙΑΣ: 38
- ΚΕΝΤΡΙΚΟΥ ΤΟΜΕΑ ΑΘΗΝΩΝ: 597
- ΚΕΡΚΥΡΑΣ: 139
- ΚΕΦΑΛΛΗΝΙΑΣ: 7
- ΚΙΛΚΙΣ: 84
- ΚΟΖΑΝΗΣ: 189
- ΚΟΡΙΝΘΙΑΣ: 86
- ΚΩ: 16
- ΛΑΚΩΝΙΑΣ: 33
- ΛΑΡΙΣΑΣ: 374
- ΛΑΣΙΘΙΟΥ: 26
- ΛΕΣΒΟΥ: 85
- ΛΕΥΚΑΔΑΣ: 5
- ΛΗΜΝΟΥ: 6
- ΜΑΓΝΗΣΙΑΣ: 212
- ΜΕΣΣΗΝΙΑΣ: 109
- ΜΥΚΟΝΟΥ: 7
- ΝΑΞΟΥ: 1
- ΝΗΣΩΝ: 24
- ΝΟΤΙΟΥ ΤΟΜΕΑ ΑΘΗΝΩΝ: 226
- ΞΑΝΘΗΣ: 100
- ΠΑΡΟΥ: 4
- ΠΕΙΡΑΙΩΣ: 255
- ΠΕΛΛΑΣ: 165
- ΠΙΕΡΙΑΣ: 116
- ΠΡΕΒΕΖΑΣ: 42
- ΡΕΘΥΜΝΟΥ: 68
- ΡΟΔΟΠΗΣ: 79
- ΡΟΔΟΥ: 53
- ΣΑΜΟΥ: 12
- ΣΕΡΡΩΝ: 182
- ΣΠΟΡΑΔΩΝ: 6
- ΣΥΡΟΥ: 3
- ΤΗΝΟΥ: 3
- ΤΡΙΚΑΛΩΝ: 125
- ΦΘΙΩΤΙΔΑΣ: 142
- ΦΛΩΡΙΝΑΣ: 32
- ΦΩΚΙΔΑΣ: 11
- ΧΑΛΚΙΔΙΚΗΣ: 105
- ΧΑΝΙΩΝ: 44
- ΧΙΟΥ: 2
- ΥΠΟ ΔΙΕΡΕΥΝΗΣΗ: 223

- Πέθανε η «κυρά» Ρηνιώ στα 107: «Ήταν μια σπαθάτη γυναίκα» - Το συγκινητικό αντίο
- Έξαλλη η Τούνη με την απεργία ταξί: «Περπατάω με τα τακουνάκια μου όλο το κέντρο»
- «Δεν είναι ο άντρας που έδειχνε»: Η γυναίκα που πιάστηκε από την kiss cam στους Coldplay αποκαλύπτει
- Μηνύματα σοκ σε ομαδική συνομιλία μετά τη δολοφονία στην Καλαμαριά: «Μακάρι να πεθάνει»
Ακολουθήστε το Reader στα Google News για να είστε πάντα ενημερωμένοι για όλες τις ειδήσεις και τα νέα από την Ελλάδα και τον κόσμο.