Νέα πτώση στα κρούσματα του κορονοϊού στη χώρα ανακοίνωσε ο ΕΟΔΥ, που έφτασαν τα 10.783, ωστόσο την ίδια στιγμή 95 ακόμη άνθρωποι έχασαν τη ζωή τους από επιπλοκές της νόσους ενώ 680 νοσηλεύονται διασωληνωμένοι. Στο κέντρο της Αθήνας και τη Θεσσαλονίκη και πάλι τα περισσότερα θετικά κρούσματα με 1.139 και 1.146, αντίστοιχα.
Σύμφωνα με τα επίσημα στοιχεία τα νέα εργαστηριακά επιβεβαιωμένα κρούσματα της νόσου που καταγράφηκαν τις τελευταίες 24 ώρες είναι 10.783 , εκ των οποίων 55 εντοπίστηκαν κατόπιν ελέγχων στις πύλες εισόδου της χώρας. Ο συνολικός αριθμός των κρουσμάτων ανέρχεται σε 1.660.871 (ημερήσια μεταβολή +0.7%), εκ των οποίων 49.8% άνδρες. Με βάση τα επιβεβαιωμένα κρούσματα των τελευταίων 7 ημερών, 506 θεωρούνται σχετιζόμενα με ταξίδι από το εξωτερικό και 2.146 είναι σχετιζόμενα με ήδη γνωστό κρούσμα.
Ο αριθμός των ασθενών που νοσηλεύονται διασωληνωμένοι είναι 680 (60.3% άνδρες). Η διάμεση ηλικία τους είναι 65 έτη. To 79.1% έχει υποκείμενο νόσημα ή/και ηλικία 70 ετών και άνω. Μεταξύ των ασθενών που νοσηλεύονται διασωληνωμένοι, 554 (81.47%) είναι ανεμβολίαστοι ή μερικώς εμβολιασμένοι και 126 (18.53%) είναι πλήρως εμβολιασμένοι. Από την αρχή της πανδημίας έχουν εξέλθει από τις ΜΕΘ 3.899 ασθενείς.
Οι νέοι θάνατοι ασθενών με COVID-19 είναι 95, ενώ από την έναρξη της επιδημίας έχουν καταγραφεί συνολικά 21.984 θάνατοι. Το 95.1% είχε υποκείμενο νόσημα ή/και ηλικία 70 ετών και άνω.
Κορονοϊός: 3.826 κρούσματα στην Αττική, 1.146 στη Θεσσαλονίκη - Η γεωγραφική κατανομή
Σε υψηλά επίπεδα παραμένει ο αριθμός των νέων κρουσμάτων κορονοϊού που ανακοίνωσε ο ΕΟΔΥ σήμερα Κυριακή 16 Ιανουαρίου 2022. Η Αττική είναι η πιο επιβαρυμένη επιδημιολογικά περιφέρεια, αφού εντοπίστηκαν 3.826 μολύνσεις. Στη Θεσσαλονίκη καταγράφηκαν 1.671 κρούσματα.
Η κατανομή των κρουσμάτων στην Αττική:
- Ανατολική Αττική: 503 κρούσματα
- Βόρειος τομέας Αθηνών: 494 κρούσματα
- Δυτική Αττική: 165 κρούσματα
- Δυτικός τομέας Αθηνών: 497 κρούσματα
- Κεντρικός τομέας Αθηνών: 1.139 κρούσματα
- Νήσων: 52 κρούσματα
- Νότιος Τομέας Αθηνών: 423 κρούσματα
- Πειραιάς: 553 κρούσματα

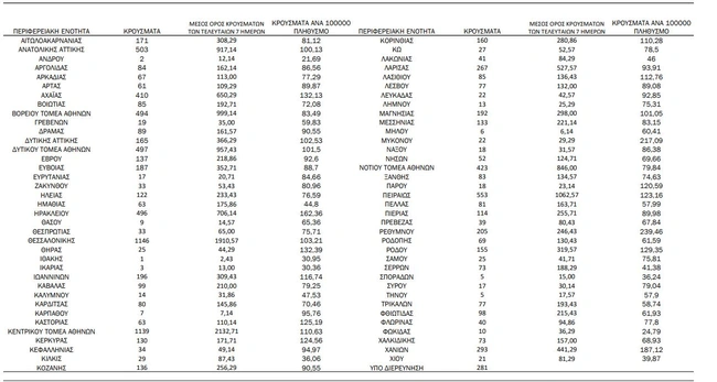
Η γεωγραφική κατανομή των κρουσμάτων
- ΑΙΤΩΛΟΑΚΑΡΝΑΝΙΑΣ 171
- ΑΝΑΤΟΛΙΚΗΣ ΑΤΤΙΚΗΣ 503
- ΑΝΔΡΟΥ 2
- ΑΡΓΟΛΙΔΑΣ 84
- ΑΡΚΑΔΙΑΣ 67
- ΑΡΤΑΣ 61
- ΑΧΑΪΑΣ 410
- ΒΟΙΩΤΙΑΣ 85
- ΒΟΡΕΙΟΥ ΤΟΜΕΑ ΑΘΗΝΩΝ 494
- ΓΡΕΒΕΝΩΝ 19
- ΔΡΑΜΑΣ 89
- ΔΥΤΙΚΗΣ ΑΤΤΙΚΗΣ 165
- ΔΥΤΙΚΟΥ ΤΟΜΕΑ ΑΘΗΝΩΝ 497
- ΕΒΡΟΥ 137
- ΕΥΒΟΙΑΣ 187
- ΕΥΡΥΤΑΝΙΑΣ 17
- ΖΑΚΥΝΘΟΥ 33
- ΗΛΕΙΑΣ 122
- ΗΜΑΘΙΑΣ 63
- ΗΡΑΚΛΕΙΟΥ 496
- ΘΑΣΟΥ 9
- ΘΕΣΠΡΩΤΙΑΣ 33
- ΘΕΣΣΑΛΟΝΙΚΗΣ 1146
- ΘΗΡΑΣ 25
- ΙΘΑΚΗΣ 1
- ΙΚΑΡΙΑΣ 3
- ΙΩΑΝΝΙΝΩΝ 196
- ΚΑΒΑΛΑΣ 99
- ΚΑΛΥΜΝΟΥ 14
- ΚΑΡΔΙΤΣΑΣ 80
- ΚΑΡΠΑΘΟΥ 7
- ΚΑΣΤΟΡΙΑΣ 63
- ΚΕΝΤΡΙΚΟΥ ΤΟΜΕΑ ΑΘΗΝΩΝ 1139
- ΚΕΡΚΥΡΑΣ 130
- ΚΕΦΑΛΛΗΝΙΑΣ 34
- ΚΙΛΚΙΣ 29
- ΚΟΖΑΝΗΣ 136
- ΚΟΡΙΝΘΙΑΣ 160
- ΚΩ 27
- ΛΑΚΩΝΙΑΣ 41
- ΛΑΡΙΣΑΣ 267
- ΛΑΣΙΘΙΟΥ 85
- ΛΕΣΒΟΥ 77
- ΛΕΥΚΑΔΑΣ 22
- ΛΗΜΝΟΥ 13
- ΜΑΓΝΗΣΙΑΣ 192
- ΜΕΣΣΗΝΙΑΣ 133
- ΜΗΛΟΥ 6
- ΜΥΚΟΝΟΥ 22
- ΝΑΞΟΥ 18
- ΝΗΣΩΝ 52
- ΝΟΤΙΟΥ ΤΟΜΕΑ ΑΘΗΝΩΝ 423
- ΞΑΝΘΗΣ 83
- ΠΑΡΟΥ 18
- ΠΕΙΡΑΙΩΣ 553
- ΠΕΛΛΑΣ 81
- ΠΙΕΡΙΑΣ 114
- ΠΡΕΒΕΖΑΣ 39
- ΡΕΘΥΜΝΟΥ 205
- ΡΟΔΟΠΗΣ 69
- ΡΟΔΟΥ 155
- ΣΑΜΟΥ 25
- ΣΕΡΡΩΝ 73
- ΣΠΟΡΑΔΩΝ 5
- ΣΥΡΟΥ 17
- ΤΗΝΟΥ 5
- ΤΡΙΚΑΛΩΝ 77
- ΦΘΙΩΤΙΔΑΣ 98
- ΦΛΩΡΙΝΑΣ 40
- ΦΩΚΙΔΑΣ 10
- ΧΑΛΚΙΔΙΚΗΣ 73
- ΧΑΝΙΩΝ 293
- ΧΙΟΥ 21
- ΥΠΟ ΔΙΕΡΕΥΝΗΣΗ 281
- «Ο Τσακ Νόρις δεν διαβάζει βιογραφίες, τις γράφει»: Η ζωή του ανθρώπου πίσω από τα memes του διαδικτύου
- «Τι κάνετε ρε παιδιά»: Τρένα παραβίασαν το κόκκινο οκτώ φορές μέσα σε λίγους μήνες
- Ίκερ Κασίγιας: Το «στενό μαρκάρισμα» σε 20χρονη καλλονή που προκάλεσε σάλο στην Ισπανία
- Νέα έφοδος της ΕΛΑΣ σε γκαλερί του Τσαγκαράκη στην Γλυφάδα: Φορτώνουν πίνακες σε φορτηγό
Ακολουθήστε το Reader στα Google News για να είστε πάντα ενημερωμένοι για όλες τις ειδήσεις και τα νέα από την Ελλάδα και τον κόσμο.