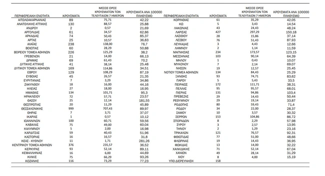
Στην Αττική εντοπίστηκαν τα περισσότερα από τα 6.150 κρούσματα κορονοϊού που ανακοίνωσε σήμερα Τετάρτη 3 Νοεμβρίου, ο ΕΟΔΥ. Για την ακρίβεια, στην Αττική εντοπίστηκαν 1.267κρούσματα ενώ η Θεσσαλονίκη βρέθηκε για μια ακόμη φορά στο «κόκκινο» με 999 κρούσματα. Υψηλός είναι ο αριθμός των νέων μολύνσεων στη Λάρισα όπου ανιχνεύτηκαν 427 ενώ ακολουθεί η Μαγνησία με 234 και Αχαΐα με 238.
Η κατανομή στην Αττική:
- ΑΝΑΤΟΛΙΚΗΣ ΑΤΤΙΚΗΣ 130
- ΒΟΡΕΙΟΥ ΤΟΜΕΑ ΑΘΗΝΩΝ 226
- ΔΥΤΙΚΗΣ ΑΤΤΙΚΗΣ 41
- ΔΥΤΙΚΟΥ ΤΟΜΕΑ ΑΘΗΝΩΝ 169
- ΚΕΝΤΡΙΚΟΥ ΤΟΜΕΑ ΑΘΗΝΩΝ 376
- ΝΗΣΩΝ 19
- ΝΟΤΙΟΥ ΤΟΜΕΑ ΑΘΗΝΩΝ 134
- ΠΕΙΡΑΙΩΣ 172
H κατανομή στην υπόλοιπη Ελλάδα:
- ΑΙΤΩΛΟΑΚΑΡΝΑΝΙΑΣ 89
- ΑΝΔΡΟΥ 2
- ΑΡΓΟΛΙΔΑΣ 61
- ΑΡΚΑΔΙΑΣ 74
- ΑΡΤΑΣ 25
- ΑΧΑΪΑΣ 238
- ΒΟΙΩΤΙΑΣ 60
- ΓΡΕΒΕΝΩΝ 21
- ΔΡΑΜΑΣ 69
- ΕΒΡΟΥ 129
- ΕΥΒΟΙΑΣ 45
- ΕΥΡΥΤΑΝΙΑΣ 7
- ΖΑΚΥΝΘΟΥ 18
- ΗΛΕΙΑΣ 27
- ΗΜΑΘΙΑΣ 134
- ΗΡΑΚΛΕΙΟΥ 72
- ΘΑΣΟΥ 25
- ΘΕΣΠΡΩΤΙΑΣ 20
- ΘΗΡΑΣ 7
- ΙΚΑΡΙΑΣ 1
- ΙΩΑΝΝΙΝΩΝ 100
- ΚΑΒΑΛΑΣ 75
- ΚΑΛΥΜΝΟΥ 5
- ΚΑΡΔΙΤΣΑΣ 59
- ΚΑΣΤΟΡΙΑΣ 16
- ΚΕΑΣ – ΚΥΘΝΟΥ 11
- ΚΕΡΚΥΡΑΣ 93
- ΚΕΦΑΛΛΗΝΙΑΣ 16
- ΚΙΛΚΙΣ 75
- ΚΟΖΑΝΗΣ 116
- ΚΟΡΙΝΘΙΑΣ 61
- ΚΩ 5
- ΛΑΚΩΝΙΑΣ 43
- ΛΑΡΙΣΑΣ 427
- ΛΑΣΙΘΙΟΥ 28
- ΛΕΣΒΟΥ 76
- ΛΕΥΚΑΔΑΣ 3
- ΛΗΜΝΟΥ 2
- ΜΑΓΝΗΣΙΑΣ 234
- ΜΕΣΣΗΝΙΑΣ 103
- ΜΗΛΟΥ 1
- ΜΥΚΟΝΟΥ 7
- ΞΑΝΘΗΣ 93
- ΠΑΡΟΥ 5
- ΠΕΛΛΑΣ 95
- ΠΙΕΡΙΑΣ 131
- ΠΡΕΒΕΖΑΣ 29
- ΡΕΘΥΜΝΟΥ 29
- ΡΟΔΟΠΗΣ 80
- ΡΟΔΟΥ 34
- ΣΑΜΟΥ 10
- ΣΕΡΡΩΝ 153
- ΣΠΟΡΑΔΩΝ 8
- ΣΥΡΟΥ 3
- ΤΗΝΟΥ 2
- ΤΡΙΚΑΛΩΝ 121
- ΦΘΙΩΤΙΔΑΣ 77
- ΦΛΩΡΙΝΑΣ 19
- ΦΩΚΙΔΑΣ 13
- ΧΑΛΚΙΔΙΚΗΣ 71
- ΧΑΝΙΩΝ 49
- ΧΙΟΥ 8
- ΥΠΟ ΔΙΕΡΕΥΝΗΣΗ 158

- Ένταση μεταξύ Αναστασοπούλου και Πορτοσάλτε: «Να τους καλέσεις στις εκπομπές σου και να τους ρωτήσεις, όχι εδώ»
- Συγκινεί ο Σάκης Αρναούτογλου: Το «ευχαριστώ» και η παράκληση στη μνήμη της μητέρας του
- Μηνυτήρια αναφορά για την τραγωδία στη «Βιολάντα»: Έρευνα για ευθύνες κράτους, και ιδιωτών
- Πώς θα γίνει η υποδοχή των επτά σορών από τους οπαδούς του ΠΑΟΚ στο «Μακεδονία» - Η πομπή στην Τούμπα
Ακολουθήστε το Reader στα Google News για να είστε πάντα ενημερωμένοι για όλες τις ειδήσεις και τα νέα από την Ελλάδα και τον κόσμο.