Νέα «έκρηξη» σημειώθηκε στον αριθμό των ημερήσιων κρουσμάτων του κορονοϊού, με τον ΕΟΔΥ να ανακοινώνει 7.486 νέες μολύνσεις. Παράλληλα, σε ιδιαίτερα υψηλά επίπεδα παραμένει ο αριθμός των θανάτων από επιπλοκές της Covid-19 και ο αριθμός των συμπολιτών μας που νοσηλεύονται σε ΜΕΘ. Σύμφωνα με την ανακοίνωση του ΕΟΔΥ, σήμερα, Τρίτη 30 Νοεμβρίου καταγράφηκαν 7.486 νέα κρούσματα κορονοϊού. Ανακοινώθηκαν 664 διασωληνωμένοι στα νοσοκομεία, ενώ κατά το τελευταίο 24ωρο καταγράφηκαν 88 θάνατοι.
Αναλυτικά η ανακοίνωση του ΕΟΔΥ: «Τα νέα εργαστηριακά επιβεβαιωμένα κρούσματα της νόσου που καταγράφηκαν τις τελευταίες 24 ώρες είναι 7.486, εκ των οποίων 3 εντοπίστηκαν κατόπιν ελέγχων στις πύλες εισόδου της χώρας. Ο συνολικός αριθμός των κρουσμάτων ανέρχεται σε 938.903 (ημερήσια μεταβολή +0.8%), εκ των οποίων 50.6% άνδρες. Με βάση τα επιβεβαιωμένα κρούσματα των τελευταίων 7 ημερών, 105 θεωρούνται σχετιζόμενα με ταξίδι από το εξωτερικό και 2.712 είναι σχετιζόμενα με ήδη γνωστό κρούσμα. Οι νέοι θάνατοι ασθενών με COVID-19 είναι 88, ενώ από την έναρξη της επιδημίας έχουν καταγραφεί συνολικά 18.157 θάνατοι. Το 95.4% είχε υποκείμενο νόσημα ή/και ηλικία 70 ετών και άνω.
Ο αριθμός των ασθενών που νοσηλεύονται διασωληνωμένοι είναι 664 (60.1% άνδρες). Η διάμεση ηλικία τους είναι 64 έτη. To 80.3% έχει υποκείμενο νόσημα ή/και ηλικία 70 ετών και άνω. Μεταξύ των ασθενών που νοσηλεύονται διασωληνωμένοι, 532 (80.12%) είναι ανεμβολίαστοι ή μερικώς εμβολιασμένοι και 132 (19.88%) είναι πλήρως εμβολιασμένοι. Από την αρχή της πανδημίας έχουν εξέλθει από τις ΜΕΘ 3.514 ασθενείς. Οι εισαγωγές νέων ασθενών Covid-19 στα νοσοκομεία της επικράτειας είναι 394 (ημερήσια μεταβολή -5.06%). Ο μέσος όρος εισαγωγών του επταημέρου είναι 464 ασθενείς. Η διάμεση ηλικία των κρουσμάτων είναι 38 έτη (εύρος 0.2 έως 106 έτη), ενώ η διάμεση ηλικία των θανόντων είναι 78 έτη (εύρος 0.2 έως 106 έτη)».
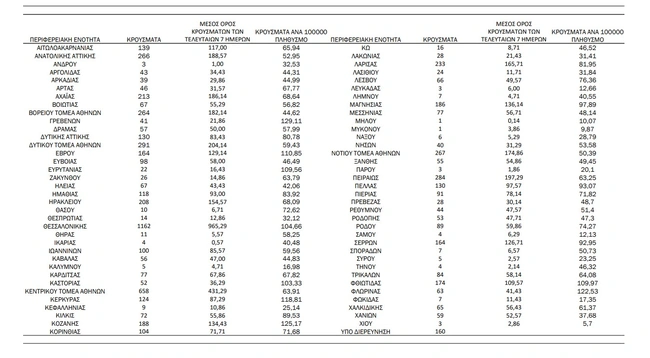
Η γεωγραφική κατανομή
Η Αττική ήταν για μία ακόμη φορά πρώτη στη λίστα το τελευταίο 24ωρο, στην κατανομή των κρουσμάτων κορονοϊού, που ανακοινώθηκαν σήμερα Τρίτη 30 Νοεμβρίου, από τον ΕΟΔΥ. Συγκεκριμένα στην Αττική βρέθηκαν 2.200 μολύνσεις, ενώ στη Θεσσαλονίκη καταγράφηκαν 1.162 κρούσματα. Ακολουθούν σε κρούσματα η Λάρισα με 233, η Αχαΐα με 213 και το Ηράκλειο με 208 μολύνσεις.
Η κατανομή των κρουσμάτων στην Αττική:
- Ανατολική Αττική: 266 κρούσματα
- Βόρειος τομέας Αθηνών: 264 κρούσματα
- Δυτική Αττική: 130 κρούσματα
- Δυτικός τομέας Αθηνών: 291 κρούσματα
- Κεντρικός τομέας Αθηνών: 658 κρούσματα
- Νήσων: 40 κρούσματα
- Νότιος τομέας Αθηνών: 267 κρούσματα
- Πειραιάς: 284 κρούσματα
Αναλυτικά η κατανομή σε όλη τη χώρα:
- ΑΙΤΩΛΟΑΚΑΡΝΑΝΙΑΣ 139
- ΑΝΑΤΟΛΙΚΗΣ ΑΤΤΙΚΗΣ 266
- ΑΝΔΡΟΥ 3
- ΑΡΓΟΛΙΔΑΣ 43
- ΑΡΚΑΔΙΑΣ 39
- ΑΡΤΑΣ 46
- ΑΧΑΪΑΣ 213
- ΒΟΙΩΤΙΑΣ 67
- ΒΟΡΕΙΟΥ ΤΟΜΕΑ ΑΘΗΝΩΝ 264
- ΓΡΕΒΕΝΩΝ 41
- ΔΡΑΜΑΣ 57
- ΔΥΤΙΚΗΣ ΑΤΤΙΚΗΣ 130
- ΔΥΤΙΚΟΥ ΤΟΜΕΑ ΑΘΗΝΩΝ 291
- ΕΒΡΟΥ 164
- ΕΥΒΟΙΑΣ 98
- ΕΥΡΥΤΑΝΙΑΣ 22
- ΖΑΚΥΝΘΟΥ 26
- ΗΛΕΙΑΣ 67
- ΗΜΑΘΙΑΣ 118
- ΗΡΑΚΛΕΙΟΥ 208
- ΘΑΣΟΥ 10
- ΘΕΣΠΡΩΤΙΑΣ 14
- ΘΕΣΣΑΛΟΝΙΚΗΣ 1.162
- ΘΗΡΑΣ 11
- ΙΚΑΡΙΑΣ 4
- ΙΩΑΝΝΙΝΩΝ 100
- ΚΑΒΑΛΑΣ 56
- ΚΑΛΥΜΝΟΥ 5
- ΚΑΡΔΙΤΣΑΣ 77
- ΚΑΣΤΟΡΙΑΣ 52
- ΚΕΝΤΡΙΚΟΥ ΤΟΜΕΑ ΑΘΗΝΩΝ 658
- ΚΕΡΚΥΡΑΣ 124
- ΚΕΦΑΛΛΗΝΙΑΣ 9
- ΚΙΛΚΙΣ 72
- ΚΟΖΑΝΗΣ 188
- ΚΟΡΙΝΘΙΑΣ 104
- ΚΩ 16
- ΛΑΚΩΝΙΑΣ 28
- ΛΑΡΙΣΑΣ 233
- ΛΑΣΙΘΙΟΥ 24
- ΛΕΣΒΟΥ 66
- ΛΕΥΚΑΔΑΣ 3
- ΛΗΜΝΟΥ 7
- ΜΑΓΝΗΣΙΑΣ 186
- ΜΕΣΣΗΝΙΑΣ 77
- ΜΗΛΟΥ 1
- ΜΥΚΟΝΟΥ 1
- ΝΑΞΟΥ 6
- ΝΗΣΩΝ 40
- ΝΟΤΙΟΥ ΤΟΜΕΑ ΑΘΗΝΩΝ 267
- ΞΑΝΘΗΣ 55
- ΠΑΡΟΥ 3
- ΠΕΙΡΑΙΩΣ 284
- ΠΕΛΛΑΣ 130
- ΠΙΕΡΙΑΣ 91
- ΠΡΕΒΕΖΑΣ 28
- ΡΕΘΥΜΝΟΥ 44
- ΡΟΔΟΠΗΣ 53
- ΡΟΔΟΥ 89
- ΣΑΜΟΥ 4
- ΣΕΡΡΩΝ 164
- ΣΠΟΡΑΔΩΝ 7
- ΣΥΡΟΥ 5
- ΤΗΝΟΥ 4
- ΤΡΙΚΑΛΩΝ 84
- ΦΘΙΩΤΙΔΑΣ 174
- ΦΛΩΡΙΝΑΣ 63
- ΦΩΚΙΔΑΣ 7
- ΧΑΛΚΙΔΙΚΗΣ 65
- ΧΑΝΙΩΝ 59
- ΧΙΟΥ 3
- ΥΠΟ ΔΙΕΡΕΥΝΗΣΗ 160

- Δεν ήταν τυχαίο το τροχαίο των οπαδών του ΠΑΟΚ: Τράκαραν στον «δρόμο του θανάτου» της Ρουμανίας
- Lane Assist: Πώς λειτουργεί το σύστημα που φέρεται να μπλόκαρε το τιμόνι στη Ρουμανία
- Το πρόβλημα που δεν στάθμισε η Καρυστιανού, η άνω τελεία στην Όλγα και οι ανατροπές λόγω των τραγωδιών
- Το «καρφί» Λιάγκα για Καλημέρα Ελλάδα: «Δεν οφείλεται σε μας η καθυστέρηση, αλλά στην προηγούμενη εκπομπή»
Ακολουθήστε το Reader στα Google News για να είστε πάντα ενημερωμένοι για όλες τις ειδήσεις και τα νέα από την Ελλάδα και τον κόσμο.