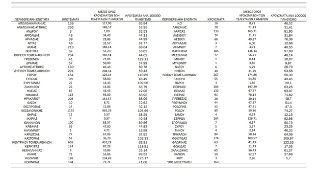
Η Αττική ήταν για μία ακόμη φορά πρώτη στη λίστα το τελευταίο 24ωρο, στην κατανομή των κρουσμάτων κορονοϊού, που ανακοινώθηκαν σήμερα Τρίτη 30 Νοεμβρίου, από τον ΕΟΔΥ. Συγκεκριμένα στην Αττική βρέθηκαν 2.200 μολύνσεις, ενώ στη Θεσσαλονίκη καταγράφηκαν 1.162 κρούσματα. Ακολουθούν σε κρούσματα η Λάρισα με 233, η Αχαΐα με 213 και το Ηράκλειο με 208 μολύνσεις.
Η κατανομή των κρουσμάτων στην Αττική:
- Ανατολική Αττική: 266 κρούσματα
- Βόρειος τομέας Αθηνών: 264 κρούσματα
- Δυτική Αττική: 130 κρούσματα
- Δυτικός τομέας Αθηνών: 291 κρούσματα
- Κεντρικός τομέας Αθηνών: 658 κρούσματα
- Νήσων: 40 κρούσματα
- Νότιος τομέας Αθηνών: 267 κρούσματα
- Πειραιάς: 284 κρούσματα
Αναλυτικά η κατανομή σε όλη τη χώρα:
- ΑΙΤΩΛΟΑΚΑΡΝΑΝΙΑΣ 139
- ΑΝΑΤΟΛΙΚΗΣ ΑΤΤΙΚΗΣ 266
- ΑΝΔΡΟΥ 3
- ΑΡΓΟΛΙΔΑΣ 43
- ΑΡΚΑΔΙΑΣ 39
- ΑΡΤΑΣ 46
- ΑΧΑΪΑΣ 213
- ΒΟΙΩΤΙΑΣ 67
- ΒΟΡΕΙΟΥ ΤΟΜΕΑ ΑΘΗΝΩΝ 264
- ΓΡΕΒΕΝΩΝ 41
- ΔΡΑΜΑΣ 57
- ΔΥΤΙΚΗΣ ΑΤΤΙΚΗΣ 130
- ΔΥΤΙΚΟΥ ΤΟΜΕΑ ΑΘΗΝΩΝ 291
- ΕΒΡΟΥ 164
- ΕΥΒΟΙΑΣ 98
- ΕΥΡΥΤΑΝΙΑΣ 22
- ΖΑΚΥΝΘΟΥ 26
- ΗΛΕΙΑΣ 67
- ΗΜΑΘΙΑΣ 118
- ΗΡΑΚΛΕΙΟΥ 208
- ΘΑΣΟΥ 10
- ΘΕΣΠΡΩΤΙΑΣ 14
- ΘΕΣΣΑΛΟΝΙΚΗΣ 1.162
- ΘΗΡΑΣ 11
- ΙΚΑΡΙΑΣ 4
- ΙΩΑΝΝΙΝΩΝ 100
- ΚΑΒΑΛΑΣ 56
- ΚΑΛΥΜΝΟΥ 5
- ΚΑΡΔΙΤΣΑΣ 77
- ΚΑΣΤΟΡΙΑΣ 52
- ΚΕΝΤΡΙΚΟΥ ΤΟΜΕΑ ΑΘΗΝΩΝ 658
- ΚΕΡΚΥΡΑΣ 124
- ΚΕΦΑΛΛΗΝΙΑΣ 9
- ΚΙΛΚΙΣ 72
- ΚΟΖΑΝΗΣ 188
- ΚΟΡΙΝΘΙΑΣ 104
- ΚΩ 16
- ΛΑΚΩΝΙΑΣ 28
- ΛΑΡΙΣΑΣ 233
- ΛΑΣΙΘΙΟΥ 24
- ΛΕΣΒΟΥ 66
- ΛΕΥΚΑΔΑΣ 3
- ΛΗΜΝΟΥ 7
- ΜΑΓΝΗΣΙΑΣ 186
- ΜΕΣΣΗΝΙΑΣ 77
- ΜΗΛΟΥ 1
- ΜΥΚΟΝΟΥ 1
- ΝΑΞΟΥ 6
- ΝΗΣΩΝ 40
- ΝΟΤΙΟΥ ΤΟΜΕΑ ΑΘΗΝΩΝ 267
- ΞΑΝΘΗΣ 55
- ΠΑΡΟΥ 3
- ΠΕΙΡΑΙΩΣ 284
- ΠΕΛΛΑΣ 130
- ΠΙΕΡΙΑΣ 91
- ΠΡΕΒΕΖΑΣ 28
- ΡΕΘΥΜΝΟΥ 44
- ΡΟΔΟΠΗΣ 53
- ΡΟΔΟΥ 89
- ΣΑΜΟΥ 4
- ΣΕΡΡΩΝ 164
- ΣΠΟΡΑΔΩΝ 7
- ΣΥΡΟΥ 5
- ΤΗΝΟΥ 4
- ΤΡΙΚΑΛΩΝ 84
- ΦΘΙΩΤΙΔΑΣ 174
- ΦΛΩΡΙΝΑΣ 63
- ΦΩΚΙΔΑΣ 7
- ΧΑΛΚΙΔΙΚΗΣ 65
- ΧΑΝΙΩΝ 59
- ΧΙΟΥ 3
- ΥΠΟ ΔΙΕΡΕΥΝΗΣΗ 160

- Πέθανε η «κυρά» Ρηνιώ στα 107: «Ήταν μια σπαθάτη γυναίκα» - Το συγκινητικό αντίο
- Έξαλλη η Τούνη με την απεργία ταξί: «Περπατάω με τα τακουνάκια μου όλο το κέντρο»
- «Δεν είναι ο άντρας που έδειχνε»: Η γυναίκα που πιάστηκε από την kiss cam στους Coldplay αποκαλύπτει
- Μηνύματα σοκ σε ομαδική συνομιλία μετά τη δολοφονία στην Καλαμαριά: «Μακάρι να πεθάνει»
Ακολουθήστε το Reader στα Google News για να είστε πάντα ενημερωμένοι για όλες τις ειδήσεις και τα νέα από την Ελλάδα και τον κόσμο.