Πάνω από 30.000 εξακολουθούν να είναι τα καθημερινά κρούσματα, καθώς σήμερα Πέμπτη 6 Ιανουαρίου 2022 ο ΕΟΔΥ ανακοίνωσε 33.716 νέες μολύνσεις μέσα σε μία ημέρα. Παράλληλα ανακοινώθηκαν 639 διασωληνωμένοι στα νοσοκομεία, ενώ κατά το τελευταίο 24ωρο καταγράφηκαν 70 θάνατοι. Μεταξύ των ασθενών που νοσηλεύονται διασωληνωμένοι, 542 (84.82%) είναι ανεμβολίαστοι ή μερικώς εμβολιασμένοι και 97 (15.18%) είναι πλήρως εμβολιασμένοι.
Διαβάστε ακόμη: Κορονοϊός: 12.884 κρούσματα στην Αττική, 3.739 στη Θεσσαλονίκη - Η γεωγραφική κατανομή
Αναλυτικά, στην ανακοίνωση του ΕΟΔΥ αναφέρεται: «Τα νέα εργαστηριακά επιβεβαιωμένα κρούσματα της νόσου που καταγράφηκαν τις τελευταίες 24 ώρες είναι 33.716 , εκ των οποίων 76 εντοπίστηκαν κατόπιν ελέγχων στις πύλες εισόδου της χώρας. Ο συνολικός αριθμός των κρουσμάτων ανέρχεται σε 1.422.020 (ημερήσια μεταβολή +2.4%), εκ των οποίων 50.1% άνδρες. Με βάση τα επιβεβαιωμένα κρούσματα των τελευταίων 7 ημερών, 358 θεωρούνται σχετιζόμενα με ταξίδι από το εξωτερικό και 1.409 είναι σχετιζόμενα με ήδη γνωστό κρούσμα
Οι νέοι θάνατοι ασθενών με COVID-19 είναι 70, ενώ από την έναρξη της επιδημίας έχουν καταγραφεί συνολικά 21.185 θάνατοι. Το 95.1% είχε υποκείμενο νόσημα ή/και ηλικία 70 ετών και άνω.
Ο αριθμός των ασθενών που νοσηλεύονται διασωληνωμένοι είναι 639 (58.4% άνδρες). Η διάμεση ηλικία τους είναι 64 έτη. To 80.3% έχει υποκείμενο νόσημα ή/και ηλικία 70 ετών και άνω. Μεταξύ των ασθενών που νοσηλεύονται διασωληνωμένοι, 542 (84.82%) είναι ανεμβολίαστοι ή μερικώς εμβολιασμένοι και 97 (15.18%) είναι πλήρως εμβολιασμένοι. Από την αρχή της πανδημίας έχουν εξέλθει από τις ΜΕΘ 3.795 ασθενείς. Οι εισαγωγές νέων ασθενών Covid-19 στα νοσοκομεία της επικράτειας είναι 593 (ημερήσια μεταβολή -7.49%). Ο μέσος όρος εισαγωγών του επταημέρου είναι 486 ασθενείς. Η διάμεση ηλικία των κρουσμάτων είναι 36 έτη (εύρος 0.2 έως 106 έτη), ενώ η διάμεση ηλικία των θανόντων είναι 78 έτη (εύρος 0.2 έως 106 έτη)».
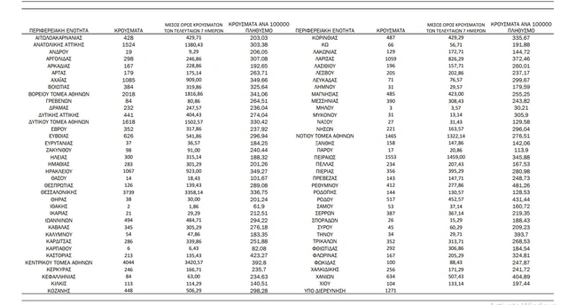
Η γεωγραφική κατανομή
Σε υψηλά επίπεδα παραμένει ο αριθμός νέων κρουσμάτων κορονοϊού που ανακοίνωσε ο ΕΟΔΥ σήμερα Πέμπτη 6 Ιανουαρίου 2022. Η Αττική είναι η πιο επιβαρυμένη επιδημιολογικά περιφέρεια σήμερα, αφού εντοπίστηκαν 12.884 μολύνσεις. Στη Θεσσαλονίκη καταγράφηκαν 3.739 κρούσματα.
Η κατανομή των κρουσμάτων στην Αττική:
- Ανατολική Αττική: 1.524 κρούσματα
- Βόρειος τομέας Αθηνών: 2.018 κρούσματα
- Δυτική Αττική: 441 κρούσματα
- Δυτικός τομέας Αθηνών: 1.618 κρούσματα
- Κεντρικός τομέας Αθηνών: 4.044 κρούσματα
- Νήσων: 221 κρούσματα
- Νότιος τομέας Αθηνών: 1.465 κρούσματα
- Πειραιάς: 1.553 κρούσματα
Η κατανομή στις περιφερειακές ενότητες:
- ΑΙΤΩΛΟΑΚΑΡΝΑΝΙΑΣ 428
- ΑΝΑΤΟΛΙΚΗΣ ΑΤΤΙΚΗΣ 1.524
- ΑΝΔΡΟΥ 19
- ΑΡΓΟΛΙΔΑΣ 298
- ΑΡΚΑΔΙΑΣ 167
- ΑΡΤΑΣ 179
- ΑΧΑΪΑΣ 1.085
- ΒΟΙΩΤΙΑΣ 384
- ΒΟΡΕΙΟΥ ΤΟΜΕΑ ΑΘΗΝΩΝ 2.018
- ΓΡΕΒΕΝΩΝ 84
- ΔΡΑΜΑΣ 232
- ΔΥΤΙΚΗΣ ΑΤΤΙΚΗΣ 441
- ΔΥΤΙΚΟΥ ΤΟΜΕΑ ΑΘΗΝΩΝ 1.618
- ΕΒΡΟΥ 352
- ΕΥΒΟΙΑΣ 626
- ΕΥΡΥΤΑΝΙΑΣ 37
- ΖΑΚΥΝΘΟΥ 98
- ΗΛΕΙΑΣ 300
- ΗΜΑΘΙΑΣ 283
- ΗΡΑΚΛΕΙΟΥ 1.067
- ΘΑΣΟΥ 14
- ΘΕΣΠΡΩΤΙΑΣ 126
- ΘΕΣΣΑΛΟΝΙΚΗΣ 3.739
- ΘΗΡΑΣ 38
- ΙΘΑΚΗΣ 2
- ΙΚΑΡΙΑΣ 21
- ΙΩΑΝΝΙΝΩΝ 494
- ΚΑΒΑΛΑΣ 345
- ΚΑΛΥΜΝΟΥ 54
- ΚΑΡΔΙΤΣΑΣ 286
- ΚΑΡΠΑΘΟΥ 6
- ΚΑΣΤΟΡΙΑΣ 213
- ΚΕΝΤΡΙΚΟΥ ΤΟΜΕΑ ΑΘΗΝΩΝ 4.044
- ΚΕΡΚΥΡΑΣ 246
- ΚΕΦΑΛΛΗΝΙΑΣ 84
- ΚΙΛΚΙΣ 113
- ΚΟΖΑΝΗΣ 448
- ΚΟΡΙΝΘΙΑΣ 487
- ΚΩ 66
- ΛΑΚΩΝΙΑΣ 129
- ΛΑΡΙΣΑΣ 1.059
- ΛΑΣΙΘΙΟΥ 196
- ΛΕΣΒΟΥ 205
- ΛΕΥΚΑΔΑΣ 71
- ΛΗΜΝΟΥ 31
- ΜΑΓΝΗΣΙΑΣ 485
- ΜΕΣΣΗΝΙΑΣ 390
- ΜΗΛΟΥ 3
- ΜΥΚΟΝΟΥ 31
- ΝΑΞΟΥ 27
- ΝΗΣΩΝ 221
- ΝΟΤΙΟΥ ΤΟΜΕΑ ΑΘΗΝΩΝ 1.465
- ΞΑΝΘΗΣ 158
- ΠΑΡΟΥ 17
- ΠΕΙΡΑΙΩΣ 1.533
- ΠΕΛΛΑΣ 234
- ΠΙΕΡΙΑΣ 356
- ΠΡΕΒΕΖΑΣ 143
- ΡΕΘΥΜΝΟΥ 412
- ΡΟΔΟΠΗΣ 144
- ΡΟΔΟΥ 517
- ΣΑΜΟΥ 53
- ΣΕΡΡΩΝ 387
- ΣΠΟΡΑΔΩΝ 26
- ΣΥΡΟΥ 45
- ΤΗΝΟΥ 34
- ΤΡΙΚΑΛΩΝ 352
- ΦΘΙΩΤΙΔΑΣ 292
- ΦΛΩΡΙΝΑΣ 167
- ΦΩΚΙΔΑΣ 100
- ΧΑΛΚΙΔΙΚΗΣ 256
- ΧΑΝΙΩΝ 634
- ΧΙΟΥ 104
- ΥΠΟ ΔΙΕΡΕΥΝΗΣΗ 1.271

- Δεν ήταν τυχαίο το τροχαίο των οπαδών του ΠΑΟΚ: Τράκαραν στον «δρόμο του θανάτου» της Ρουμανίας
- Lane Assist: Πώς λειτουργεί το σύστημα που φέρεται να μπλόκαρε το τιμόνι στη Ρουμανία
- Το πρόβλημα που δεν στάθμισε η Καρυστιανού, η άνω τελεία στην Όλγα και οι ανατροπές λόγω των τραγωδιών
- Το «καρφί» Λιάγκα για Καλημέρα Ελλάδα: «Δεν οφείλεται σε μας η καθυστέρηση, αλλά στην προηγούμενη εκπομπή»
Ακολουθήστε το Reader στα Google News για να είστε πάντα ενημερωμένοι για όλες τις ειδήσεις και τα νέα από την Ελλάδα και τον κόσμο.