Στα είναι τα κρούσματα κορονοϊού που ανακοίνωσε σήμερα Δευτέρα 17 Ιανουαρίου ο ΕΟΔΥ. Σύμφωνα με την ανακοίνωση του ΕΟΔΥ, σήμερα καταγράφηκαν 18.834 νέα κρούσματα κορονοϊού. Ανακοινώθηκαν 672 διασωληνωμένοι στα νοσοκομεία, ενώ κατά το τελευταίο 24ωρο καταγράφηκαν 101 θάνατοι. Μεταξύ των ασθενών που νοσηλεύονται διασωληνωμένοι, 549 (81.7%) είναι ανεμβολίαστοι ή μερικώς εμβολιασμένοι και 123 (18.3%) είναι πλήρως εμβολιασμένοι.
Αναλυτικά η ανακοίνωση του ΕΟΔΥ: «Τα νέα εργαστηριακά επιβεβαιωμένα κρούσματα της νόσου που καταγράφηκαν τις τελευταίες 24 ώρες είναι 18.834 , εκ των οποίων 45 εντοπίστηκαν κατόπιν ελέγχων στις πύλες εισόδου της χώρας. Ο συνολικός αριθμός των κρουσμάτων ανέρχεται σε 1.679.705 (ημερήσια μεταβολή +1.1%), εκ των οποίων 49.8% άνδρες. Με βάση τα επιβεβαιωμένα κρούσματα των τελευταίων 7 ημερών, 473 θεωρούνται σχετιζόμενα με ταξίδι από το εξωτερικό και 2.148 είναι σχετιζόμενα με ήδη γνωστό κρούσμα.
Οι νέοι θάνατοι ασθενών με COVID-19 είναι 101, ενώ από την έναρξη της επιδημίας έχουν καταγραφεί συνολικά 22.087 θάνατοι. 1 Το 95.1% είχε υποκείμενο νόσημα ή/και ηλικία 70 ετών και άνω.
Ο αριθμός των ασθενών που νοσηλεύονται διασωληνωμένοι είναι 672 (59.5% άνδρες). Η διάμεση ηλικία τους είναι 65 έτη. To 79.2% έχει υποκείμενο νόσημα ή/και ηλικία 70 ετών και άνω. Μεταξύ των ασθενών που νοσηλεύονται διασωληνωμένοι, 549 (81.7%) είναι ανεμβολίαστοι ή μερικώς εμβολιασμένοι και 123 (18.3%) είναι πλήρως εμβολιασμένοι. Από την αρχή της πανδημίας έχουν εξέλθει από τις ΜΕΘ 3.904 ασθενείς. Οι εισαγωγές νέων ασθενών Covid-19 στα νοσοκομεία της επικράτειας είναι 472 (ημερήσια μεταβολή -16.16%). Ο μέσος όρος εισαγωγών του επταημέρου είναι 555 ασθενείς. Η διάμεση ηλικία των κρουσμάτων είναι 36 έτη (εύρος 0.2 έως 106 έτη), ενώ η διάμεση ηλικία των θανόντων είναι 78 έτη (εύρος 0.2 έως 106 έτη)».
Η γεωγραφική κατανομή
Σε υψηλά επίπεδα παραμένει ο αριθμός των νέων κρουσμάτων κορονοϊού που ανακοίνωσε ο ΕΟΔΥ σήμερα Δευτέρα 17 Ιανουαρίου 2022. Η Αττική είναι η πιο επιβαρυμένη επιδημιολογικά περιφέρεια, αφού εντοπίστηκαν 6.851 μολύνσεις. Στη Θεσσαλονίκη καταγράφηκαν 1.685 κρούσματα.
Η κατανομή των κρουσμάτων στην Αττική:
- Ανατολική Αττική: 870 κρούσματα
- Βόρειος τομέας Αθηνών: 833 κρούσματα
- Δυτική Αττική: 350 κρούσματα
- Δυτικός τομέας Αθηνών: 970 κρούσματα
- Κεντρικός τομέας Αθηνών: 1.832 κρούσματα
- Νήσων: 108 κρούσματα
- Νότιος Τομέας Αθηνών: 833 κρούσματα
- Πειραιάς: 1.055 κρούσματα
Αναλυτικά η κατανομή:
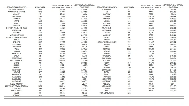
- ΑΙΤΩΛΟΑΚΑΡΝΑΝΙΑΣ 287
- ΑΝΑΤΟΛΙΚΗΣ ΑΤΤΙΚΗΣ 870
- ΑΝΔΡΟΥ 12
- ΑΡΓΟΛΙΔΑΣ 199
- ΑΡΚΑΔΙΑΣ 99
- ΑΡΤΑΣ 124
- ΑΧΑΪΑΣ 685
- ΒΟΙΩΤΙΑΣ 151
- ΒΟΡΕΙΟΥ ΤΟΜΕΑ ΑΘΗΝΩΝ 833
- ΓΡΕΒΕΝΩΝ 32
- ΔΡΑΜΑΣ 168
- ΔΥΤΙΚΗΣ ΑΤΤΙΚΗΣ 350
- ΔΥΤΙΚΟΥ ΤΟΜΕΑ ΑΘΗΝΩΝ 970
- ΕΒΡΟΥ 259
- ΕΥΒΟΙΑΣ 367
- ΕΥΡΥΤΑΝΙΑΣ 25
- ΖΑΚΥΝΘΟΥ 58
- ΗΛΕΙΑΣ 239
- ΗΜΑΘΙΑΣ 153
- ΗΡΑΚΛΕΙΟΥ 820
- ΘΑΣΟΥ 11
- ΘΕΣΠΡΩΤΙΑΣ 89
- ΘΕΣΣΑΛΟΝΙΚΗΣ 1685
- ΘΗΡΑΣ 68
- ΙΘΑΚΗΣ 5
- ΙΚΑΡΙΑΣ 11
- ΙΩΑΝΝΙΝΩΝ 234
- ΚΑΒΑΛΑΣ 177
- ΚΑΛΥΜΝΟΥ 33
- ΚΑΡΔΙΤΣΑΣ 102
- ΚΑΡΠΑΘΟΥ 5
- ΚΑΣΤΟΡΙΑΣ 155
- ΚΕΑΣ – ΚΥΘΝΟΥ 1
- ΚΕΝΤΡΙΚΟΥ ΤΟΜΕΑ ΑΘΗΝΩΝ 1832
- ΚΕΡΚΥΡΑΣ 200
- ΚΕΦΑΛΛΗΝΙΑΣ 65
- ΚΙΛΚΙΣ 76
- ΚΟΖΑΝΗΣ 238
- ΚΟΡΙΝΘΙΑΣ 261
- ΚΩ 52
- ΛΑΚΩΝΙΑΣ 79
- ΛΑΡΙΣΑΣ 456
- ΛΑΣΙΘΙΟΥ 165
- ΛΕΣΒΟΥ 134
- ΛΕΥΚΑΔΑΣ 53
- ΛΗΜΝΟΥ 26
- ΜΑΓΝΗΣΙΑΣ 290
- ΜΕΣΣΗΝΙΑΣ 213
- ΜΗΛΟΥ 11
- ΜΥΚΟΝΟΥ 37
- ΝΑΞΟΥ 41
- ΝΗΣΩΝ 108
- ΝΟΤΙΟΥ ΤΟΜΕΑ ΑΘΗΝΩΝ 833
- ΞΑΝΘΗΣ 161
- ΠΑΡΟΥ 19
- ΠΕΙΡΑΙΩΣ 1055
- ΠΕΛΛΑΣ 172
- ΠΙΕΡΙΑΣ 268
- ΠΡΕΒΕΖΑΣ 84
- ΡΕΘΥΜΝΟΥ 260
- ΡΟΔΟΠΗΣ 172
- ΡΟΔΟΥ 247
- ΣΑΜΟΥ 41
- ΣΕΡΡΩΝ 140
- ΣΠΟΡΑΔΩΝ 20
- ΣΥΡΟΥ 29
- ΤΗΝΟΥ 12
- ΤΡΙΚΑΛΩΝ 168
- ΦΘΙΩΤΙΔΑΣ 171
- ΦΛΩΡΙΝΑΣ 66
- ΦΩΚΙΔΑΣ 39
- ΧΑΛΚΙΔΙΚΗΣ 182
- ΧΑΝΙΩΝ 549
- ΧΙΟΥ 113
- ΥΠΟ ΔΙΕΡΕΥΝΗΣΗ 369

- Πυρ ομαδόν κατά Μητσοτάκη και κυβέρνησης για τον ΟΠΕΚΕΠΕ - Ποιοι ζητούν άμεσα εκλογές
- Γιατί όλο το διαδίκτυο μιλά για τον νέο στρατιωτικό ιερέα της Καλαμάτας
- Τραμπ: «Σώσαμε τον σοβαρά τραυματισμένο και γενναίο πιλότο πετώντας 7 ώρες πάνω από το Ιράν»
- «Σταματάει η λογική»: Ο Δημητρακόπουλος «αδειάζει» τον καταδικασμένο θύτη που έκανε μήνυση στην Τούνη
Ακολουθήστε το Reader στα Google News για να είστε πάντα ενημερωμένοι για όλες τις ειδήσεις και τα νέα από την Ελλάδα και τον κόσμο.