Σε υψηλά επίπεδα παραμένει ο αριθμός των νέων κρουσμάτων κορονοϊού που ανακοίνωσε ο ΕΟΔΥ σήμερα Κυριακή 6 Φεβρουαρίου 2022. Η Αττική είναι η πιο επιβαρυμένη επιδημιολογικά περιφέρεια, αφού εντοπίστηκαν 2.772 μολύνσεις. Στη Θεσσαλονίκη καταγράφηκαν 1.433 κρούσματα.
Η κατανομή στην Αττική:
- Ανατολική Αττική: 346 κρούσματα
- Βόρειος τομέας Αθηνών: 351 κρούσματα
- Δυτική Αττική: 153 κρούσματα
- Δυτικός Τομέας Αθηνών: 389 κρούσματα
- Κεντρικός τομέας Αθηνών: 780 κρούσματα
- Νήσων: 53 κρούσματα
- Νότιος Τομέας Αθηνών: 310 κρούσματα
- Πειραιάς: 390 κρούσματα
Η διασπορά στις περιφερειακές ενότητες της χώρας:
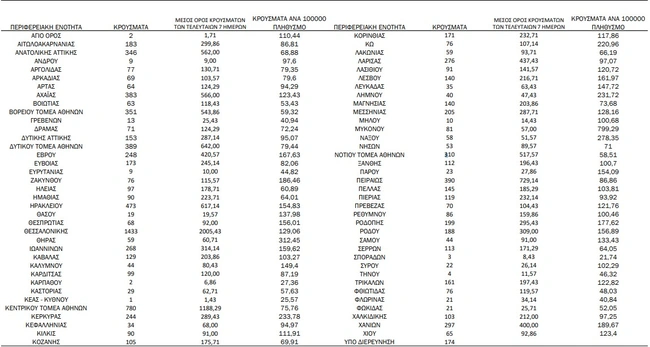
- ΑΓΙΟ ΟΡΟΣ 2
- ΑΙΤΩΛΟΑΚΑΡΝΑΝΙΑΣ 183
- ΑΝΑΤΟΛΙΚΗΣ ΑΤΤΙΚΗΣ 346
- ΑΝΔΡΟΥ 9
- ΑΡΓΟΛΙΔΑΣ 77
- ΑΡΚΑΔΙΑΣ 69
- ΑΡΤΑΣ 64
- ΑΧΑΪΑΣ 383
- ΒΟΙΩΤΙΑΣ 63
- ΒΟΡΕΙΟΥ ΤΟΜΕΑ ΑΘΗΝΩΝ 351
- ΓΡΕΒΕΝΩΝ 13
- ΔΡΑΜΑΣ 71
- ΔΥΤΙΚΗΣ ΑΤΤΙΚΗΣ 153
- ΔΥΤΙΚΟΥ ΤΟΜΕΑ ΑΘΗΝΩΝ 389
- ΕΒΡΟΥ 248
- ΕΥΒΟΙΑΣ 173
- ΕΥΡΥΤΑΝΙΑΣ 9
- ΖΑΚΥΝΘΟΥ 76
- ΗΛΕΙΑΣ 97
- ΗΜΑΘΙΑΣ 90
- ΗΡΑΚΛΕΙΟΥ 473
- ΘΑΣΟΥ 19
- ΘΕΣΠΡΩΤΙΑΣ 68
- ΘΕΣΣΑΛΟΝΙΚΗΣ 1433
- ΘΗΡΑΣ 59
- ΙΩΑΝΝΙΝΩΝ 268
- ΚΑΒΑΛΑΣ 129
- ΚΑΛΥΜΝΟΥ 44
- ΚΑΡΔΙΤΣΑΣ 99
- ΚΑΡΠΑΘΟΥ 2
- ΚΑΣΤΟΡΙΑΣ 29
- ΚΕΑΣ – ΚΥΘΝΟΥ 1
- ΚΕΝΤΡΙΚΟΥ ΤΟΜΕΑ ΑΘΗΝΩΝ 780
- ΚΕΡΚΥΡΑΣ 244
- ΚΕΦΑΛΛΗΝΙΑΣ 34
- ΚΙΛΚΙΣ 90
- ΚΟΖΑΝΗΣ 105
- ΚΟΡΙΝΘΙΑΣ 171
- ΚΩ 76
- ΛΑΚΩΝΙΑΣ 59
- ΛΑΡΙΣΑΣ 276
- ΛΑΣΙΘΙΟΥ 91
- ΛΕΣΒΟΥ 140
- ΛΕΥΚΑΔΑΣ 35
- ΛΗΜΝΟΥ 40
- ΜΑΓΝΗΣΙΑΣ 140
- ΜΕΣΣΗΝΙΑΣ 205
- ΜΗΛΟΥ 10
- ΜΥΚΟΝΟΥ 81
- ΝΑΞΟΥ 58
- ΝΗΣΩΝ 53
- ΝΟΤΙΟΥ ΤΟΜΕΑ ΑΘΗΝΩΝ 310
- ΞΑΝΘΗΣ 112
- ΠΑΡΟΥ 23
- ΠΕΙΡΑΙΩΣ 390
- ΠΕΛΛΑΣ 145
- ΠΙΕΡΙΑΣ 119
- ΠΡΕΒΕΖΑΣ 70
- ΡΕΘΥΜΝΟΥ 86
- ΡΟΔΟΠΗΣ 199
- ΡΟΔΟΥ 188
- ΣΑΜΟΥ 44
- ΣΕΡΡΩΝ 113
- ΣΠΟΡΑΔΩΝ 3
- ΣΥΡΟΥ 22
- ΤΗΝΟΥ 4
- ΤΡΙΚΑΛΩΝ 161
- ΦΘΙΩΤΙΔΑΣ 76
- ΦΛΩΡΙΝΑΣ 21
- ΦΩΚΙΔΑΣ 21
- ΧΑΛΚΙΔΙΚΗΣ 103
- ΧΑΝΙΩΝ 297
- ΧΙΟΥ 65
- ΥΠΟ ΔΙΕΡΕΥΝΗΣΗ 174

- Eurovision 2026: Αλλάζει ο τρόπος ψηφοφορίας φέτος - Ανησυχίες για χειραγώγηση από το Ισραήλ
- Μαριάννα Καλλέργη για Survivor: «Ήμουν σαν πτώμα, με έσερναν - Η παραγωγή ήταν έξαλλη που πήγα νοσοκομείο»
- Ο Βασίλης Τσεκούρας πήρε το τιμόνι του Live News: Τι είπε για την απουσία του Νίκου Ευαγγελάτου
- Ντόρα και Αλεξία Μπακογιάννη: Η κοινή ανακοίνωση για την καταδίκη του Στέφανου Χίου - «Δεν είναι μόνο προσωπική δικαίωση»
Ακολουθήστε το Reader στα Google News για να είστε πάντα ενημερωμένοι για όλες τις ειδήσεις και τα νέα από την Ελλάδα και τον κόσμο.