Στα 26.785 είναι τα κρούσματα κορονοϊού που καταγράφηκαν το τελευταίο 24ωρο. Σύμφωνα με την ανακοίνωση του ΕΟΔΥ, σήμερα Τρίτη 22 Μαρτίου, στα νοσοκομεία νοσηλεύονται διασωληνωμένοι 342 συμπολίτες μας, ενώ καταγράφηκαν 34 θάνατοι από επιπλοκές του κορονοϊού. Μεταξύ των ασθενών που νοσηλεύονται διασωληνωμένοι, 216 (63.16%) είναι ανεμβολίαστοι ή μερικώς εμβολιασμένοι και 126 (36.84%) είναι πλήρως εμβολιασμένοι.
Αναλυτικά η ανακοίνωση του ΕΟΔΥ: «Τα νέα εργαστηριακά επιβεβαιωμένα κρούσματα της νόσου που καταγράφηκαν τις τελευταίες 24 ώρες είναι 26.785, εκ των οποίων 21 εντοπίστηκαν κατόπιν ελέγχων στις πύλες εισόδου της χώρας. Ο συνολικός αριθμός των κρουσμάτων ανέρχεται σε 2.838.891 (ημερήσια μεταβολή +1.0%), εκ των οποίων 49.2% άνδρες. Με βάση τα επιβεβαιωμένα κρούσματα των τελευταίων 7 ημερών, 170 θεωρούνται σχετιζόμενα με ταξίδι από το εξωτερικό και 1.451 είναι σχετιζόμενα με ήδη γνωστό κρούσμα.
Οι νέοι θάνατοι ασθενών με COVID-19 είναι 34, ενώ από την έναρξη της επιδημίας έχουν καταγραφεί συνολικά 27.029 θάνατοι. Το 95.2% είχε υποκείμενο νόσημα ή/και ηλικία 70 ετών και άνω.
Ο αριθμός των ασθενών που νοσηλεύονται διασωληνωμένοι είναι 342 (63.7% άνδρες). Η διάμεση ηλικία τους είναι 69 έτη. To 90.9% έχει υποκείμενο νόσημα ή/και ηλικία 70 ετών και άνω. Μεταξύ των ασθενών που νοσηλεύονται διασωληνωμένοι, 216 (63.16%) είναι ανεμβολίαστοι ή μερικώς εμβολιασμένοι και 126 (36.84%) είναι πλήρως εμβολιασμένοι. Από την αρχή της πανδημίας έχουν εξέλθει από τις ΜΕΘ 4.408 ασθενείς. Οι εισαγωγές νέων ασθενών Covid-19 στα νοσοκομεία της επικράτειας είναι 334 (ημερήσια μεταβολή +10.23%). Ο μέσος όρος εισαγωγών του επταημέρου είναι 342 ασθενείς. Η διάμεση ηλικία των κρουσμάτων είναι 35 έτη (εύρος 0.2 έως 112 έτη), ενώ η διάμεση ηλικία των θανόντων είναι 79 έτη (εύρος 0.2 έως 106 έτη)».
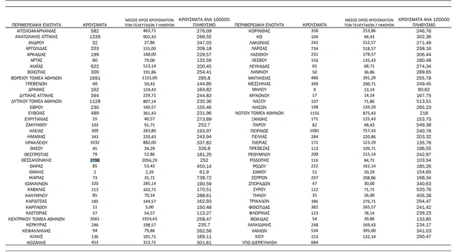
Η γεωγραφική κατανομή
Σε υψηλά επίπεδα εξακολουθεί να βρίσκεται ο αριθμός των νέων κρουσμάτων κορονοϊού που ανακοίνωσε ο ΕΟΔΥ σήμερα Τρίτη 22 Μαρτίου 2022. Η Αττική, όπως προκύπτει από τη γεωγραφική κατανομή, είναι η πιο επιβαρυμένη επιδημιολογικά περιφέρεια, αφού εντοπίστηκαν 9.647 μολύνσεις. Παράλληλα, στη Θεσσαλονίκη καταγράφηκαν 2.798 κρούσματα.
Αναλυτικά, τα κρούσματα στην Αττική:
- Ανατολική Αττική: 1.339 κρούσματα
- Βόρειος τομέας Αθηνών: 1.691 κρούσματα
- Δυτική Αττική: 394 κρούσματα
- Δυτικός Τομέας Αθηνών: 1.128 κρούσματα
- Κεντρικός τομέας Αθηνών: 2.661 κρούσματα
- Νήσων: 198 κρούσματα
- Νότιος Τομέας Αθηνών: 1.155 κρούσματα
- Πειραιάς: 1.081 κρούσματα
Η κατανομή των κρουσμάτων κορονοϊού σε όλη τη χώρα:
- ΑΙΤΩΛΟΑΚΑΡΝΑΝΙΑΣ 582
- ΑΝΑΤΟΛΙΚΗΣ ΑΤΤΙΚΗΣ 1.339
- ΑΝΔΡΟΥ 32
- ΑΡΓΟΛΙΔΑΣ 203
- ΑΡΚΑΔΙΑΣ 199
- ΑΡΤΑΣ 90
- ΑΧΑΪΑΣ 622
- ΒΟΙΩΤΙΑΣ 300
- ΒΟΡΕΙΟΥ ΤΟΜΕΑ ΑΘΗΝΩΝ 1.691
- ΓΡΕΒΕΝΩΝ 46
- ΔΡΑΜΑΣ 162
- ΔΥΤΙΚΗΣ ΑΤΤΙΚΗΣ 394
- ΔΥΤΙΚΟΥ ΤΟΜΕΑ ΑΘΗΝΩΝ 1.128
- ΕΒΡΟΥ 230
- ΕΥΒΟΙΑΣ 489
- ΕΥΡΥΤΑΝΙΑΣ 55
- ΖΑΚΥΝΘΟΥ 103
- ΗΛΕΙΑΣ 309
- ΗΜΑΘΙΑΣ 343
- ΗΡΑΚΛΕΙΟΥ 1.032
- ΘΑΣΟΥ 45
- ΘΕΣΠΡΩΤΙΑΣ 79
- ΘΕΣΣΑΛΟΝΙΚΗΣ 2.798
- ΘΗΡΑΣ 85
- ΙΘΑΚΗΣ 2
- ΙΚΑΡΙΑΣ 73
- ΙΩΑΝΝΙΝΩΝ 320
- ΚΑΒΑΛΑΣ 213
- ΚΑΛΥΜΝΟΥ 85
- ΚΑΡΔΙΤΣΑΣ 185
- ΚΑΡΠΑΘΟΥ 11
- ΚΑΣΤΟΡΙΑΣ 57
- ΚΕΝΤΡΙΚΟΥ ΤΟΜΕΑ ΑΘΗΝΩΝ 2.661
- ΚΕΡΚΥΡΑΣ 246
- ΚΕΦΑΛΛΗΝΙΑΣ 94
- ΚΙΛΚΙΣ 136
- ΚΟΖΑΝΗΣ 453
- ΚΟΡΙΝΘΙΑΣ 358
- ΚΩ 104
- ΛΑΚΩΝΙΑΣ 242
- ΛΑΡΙΣΑΣ 734
- ΛΑΣΙΘΙΟΥ 231
- ΛΕΣΒΟΥ 156
- ΛΕΥΚΑΔΑΣ 65
- ΛΗΜΝΟΥ 50
- ΜΑΓΝΗΣΙΑΣ 486
- ΜΕΣΣΗΝΙΑΣ 399
- ΜΗΛΟΥ 9
- ΜΥΚΟΝΟΥ 17
- ΝΑΞΟΥ 107
- ΝΗΣΩΝ 198
- ΝΟΤΙΟΥ ΤΟΜΕΑ ΑΘΗΝΩΝ 1.155
- ΞΑΝΘΗΣ 171
- ΠΑΡΟΥ 82
- ΠΕΙΡΑΙΩΣ 1081
- ΠΕΛΛΑΣ 284
- ΠΙΕΡΙΑΣ 172
- ΠΡΕΒΕΖΑΣ 113
- ΡΕΘΥΜΝΟΥ 208
- ΡΟΔΟΠΗΣ 116
- ΡΟΔΟΥ 222
- ΣΑΜΟΥ 51
- ΣΕΡΡΩΝ 297
- ΣΠΟΡΑΔΩΝ 47
- ΣΥΡΟΥ 112
- ΤΗΝΟΥ 35
- ΤΡΙΚΑΛΩΝ 386
- ΦΘΙΩΤΙΔΑΣ 382
- ΦΛΩΡΙΝΑΣ 123
- ΦΩΚΙΔΑΣ 54
- ΧΑΛΚΙΔΙΚΗΣ 248
- ΧΑΝΙΩΝ 534
- ΧΙΟΥ 153
- ΥΠΟ ΔΙΕΡΕΥΝΗΣΗ 684

- Τίνα Μεσσαροπούλου κατά Λιάγκα με αφορμή το βίντεο με τον Τζώρτζογλου: «Ντράπηκε κι η ντροπή, παρωδία»
- Ανασχηματισμός: Τι σηματοδοτούν τα νέα πρόσωπα στην κυβέρνηση - Ο πρωτογενής τομέας και οι αλλαγές στη ΝΔ
- Aυξάνεται κι άλλο η τιμή στο σουβλάκι: Αναμένεται να ξεπεράσει τα 4,5 ευρώ στην Αθήνα
- Ο καιρός στην Αθήνα: Πού θα κυμανθεί η θερμοκρασία τη Μεγάλη Εβδομάδα - Η εκτίμηση για βροχές
Ακολουθήστε το Reader στα Google News για να είστε πάντα ενημερωμένοι για όλες τις ειδήσεις και τα νέα από την Ελλάδα και τον κόσμο.