Σε υψηλά επίπεδα εξακολουθεί να βρίσκεται ο αριθμός των νέων κρουσμάτων κορονοϊού που ανακοίνωσε ο ΕΟΔΥ σήμερα Σάββατο 16 Απριλίου 2022. Η Αττική, όπως προκύπτει από τη γεωγραφική κατανομή, είναι η πιο επιβαρυμένη επιδημιολογικά περιφέρεια, αφού εντοπίστηκαν 3.176 μολύνσεις. Παράλληλα, στη Θεσσαλονίκη καταγράφηκαν 915 κρούσματα.
Αναλυτικά, τα κρούσματα στην Αττική:
- Ανατολική Αττική: 407 κρούσματα
- Βόρειος τομέας Αθηνών: 565 κρούσματα
- Δυτική Αττική: 100 κρούσματα
- Δυτικός Τομέας Αθηνών: 370 κρούσματα
- Κεντρικός τομέας Αθηνών: 899 κρούσματα
- Νήσων: 50 κρούσματα
- Νότιος Τομέας Αθηνών: 399 κρούσματα
- Πειραιάς: 386 κρούσματα
Η κατανομή των κρουσμάτων κορονοϊού σε όλη τη χώρα
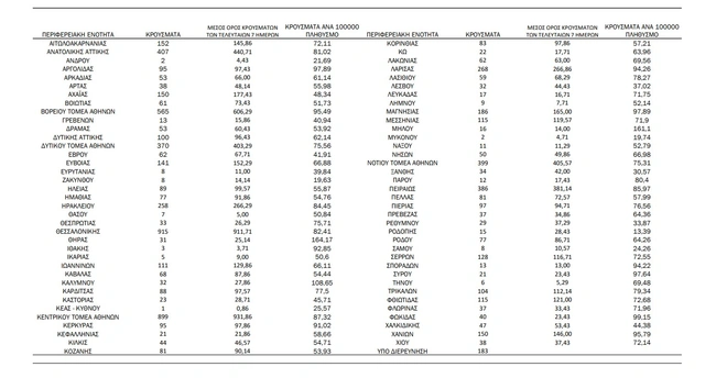
- ΑΙΤΩΛΟΑΚΑΡΝΑΝΙΑΣ 152
- ΑΝΑΤΟΛΙΚΗΣ ΑΤΤΙΚΗΣ 407
- ΑΝΔΡΟΥ 2
- ΑΡΓΟΛΙΔΑΣ 95
- ΑΡΚΑΔΙΑΣ 53
- ΑΡΤΑΣ 38
- ΑΧΑΪΑΣ 150
- ΒΟΙΩΤΙΑΣ 61
- ΒΟΡΕΙΟΥ ΤΟΜΕΑ ΑΘΗΝΩΝ 565
- ΓΡΕΒΕΝΩΝ 13
- ΔΡΑΜΑΣ 53
- ΔΥΤΙΚΗΣ ΑΤΤΙΚΗΣ 100
- ΔΥΤΙΚΟΥ ΤΟΜΕΑ ΑΘΗΝΩΝ 370
- ΕΒΡΟΥ 62
- ΕΥΒΟΙΑΣ 141
- ΕΥΡΥΤΑΝΙΑΣ 8
- ΖΑΚΥΝΘΟΥ 8
- ΗΛΕΙΑΣ 89
- ΗΜΑΘΙΑΣ 77
- ΗΡΑΚΛΕΙΟΥ 258
- ΘΑΣΟΥ 7
- ΘΕΣΠΡΩΤΙΑΣ 33
- ΘΕΣΣΑΛΟΝΙΚΗΣ 915
- ΘΗΡΑΣ 31
- ΙΘΑΚΗΣ 3
- ΙΚΑΡΙΑΣ 5
- ΙΩΑΝΝΙΝΩΝ 111
- ΚΑΒΑΛΑΣ 68
- ΚΑΛΥΜΝΟΥ 32
- ΚΑΡΔΙΤΣΑΣ 88
- ΚΑΣΤΟΡΙΑΣ 23
- ΚΕΑΣ – ΚΥΘΝΟΥ 1
- ΚΕΝΤΡΙΚΟΥ ΤΟΜΕΑ ΑΘΗΝΩΝ 899
- ΚΕΡΚΥΡΑΣ 95
- ΚΕΦΑΛΛΗΝΙΑΣ 21
- ΚΙΛΚΙΣ 44
- ΚΟΖΑΝΗΣ 81
- ΚΟΡΙΝΘΙΑΣ 83
- ΚΩ 22
- ΛΑΚΩΝΙΑΣ 62
- ΛΑΡΙΣΑΣ 268
- ΛΑΣΙΘΙΟΥ 59
- ΛΕΣΒΟΥ 32
- ΛΕΥΚΑΔΑΣ 17
- ΛΗΜΝΟΥ 9
- ΜΑΓΝΗΣΙΑΣ 186
- ΜΕΣΣΗΝΙΑΣ 115
- ΜΗΛΟΥ 16
- ΜΥΚΟΝΟΥ 2
- ΝΑΞΟΥ 11
- ΝΗΣΩΝ 50
- ΝΟΤΙΟΥ ΤΟΜΕΑ ΑΘΗΝΩΝ 399
- ΞΑΝΘΗΣ 34
- ΠΑΡΟΥ 12
- ΠΕΙΡΑΙΩΣ 386
- ΠΕΛΛΑΣ 81
- ΠΙΕΡΙΑΣ 97
- ΠΡΕΒΕΖΑΣ 37
- ΡΕΘΥΜΝΟΥ 29
- ΡΟΔΟΠΗΣ 15
- ΡΟΔΟΥ 77
- ΣΑΜΟΥ 8
- ΣΕΡΡΩΝ 128
- ΣΠΟΡΑΔΩΝ 13
- ΣΥΡΟΥ 21
- ΤΗΝΟΥ 6
- ΤΡΙΚΑΛΩΝ 104
- ΦΘΙΩΤΙΔΑΣ 115
- ΦΛΩΡΙΝΑΣ 37
- ΦΩΚΙΔΑΣ 40
- ΧΑΛΚΙΔΙΚΗΣ 47
- ΧΑΝΙΩΝ 150
- ΧΙΟΥ 38
- ΥΠΟ ΔΙΕΡΕΥΝΗΣΗ 183

- Καταπέλτης οι Δικαστές κατά Καρυστιανού-Κωνσταντοπούλου: «Μοναδικός στόχος η πολιτική εκμετάλλευση»
- Χρήστος Δημόπουλος: «Έμαθα να μιλώ στα παιδιά προσπαθώντας να κερδίσω την κόρη της γυναίκας μου»
- Υποχωρούν οι τιμές πετρελαίου μετά το διάγγελμα Νετανιάχου - Η εικόνα των αγορών
- Θύμα ξυλοδαρμού ο Ηλίας Βρεττός σε νυχτερινό μαγαζί: Τι δήλωσε ο τραγουδιστής
Ακολουθήστε το Reader στα Google News για να είστε πάντα ενημερωμένοι για όλες τις ειδήσεις και τα νέα από την Ελλάδα και τον κόσμο.