Σε υψηλά επίπεδα εξακολουθεί να βρίσκεται ο αριθμός των νέων κρουσμάτων κορονοϊού που ανακοίνωσε ο ΕΟΔΥ σήμερα Τετάρτη 25 Μαΐου 2022. Η Αττική, όπως προκύπτει από τη γεωγραφική κατανομή, είναι η πιο επιβαρυμένη επιδημιολογικά περιφέρεια, αφού εντοπίστηκαν 2.551 μολύνσεις. Παράλληλα, στη Θεσσαλονίκη καταγράφηκαν 292 κρούσματα.
Αναλυτικά, τα κρούσματα στην Αττική:
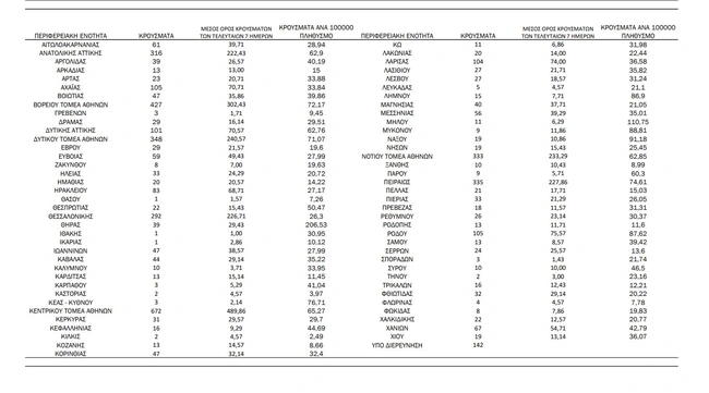
- Ανατολική Αττική: 316 κρούσματα
- Βόρειος τομέας Αθηνών: 427 κρούσματα
- Δυτική Αττική: 101 κρούσματα
- Δυτικός Τομέας Αθηνών: 348 κρούσματα
- Κεντρικός τομέας Αθηνών: 672 κρούσματα
- Νήσων: 19 κρούσματα
- Νότιος Τομέας Αθηνών: 333 κρούσματα
- Πειραιάς: 335 κρούσματα
Η κατανομή των κρουσμάτων κορονοϊού σε όλη τη χώρα
- ΑΙΤΩΛΟΑΚΑΡΝΑΝΙΑΣ 61
- ΑΝΑΤΟΛΙΚΗΣ ΑΤΤΙΚΗΣ 316
- ΑΡΓΟΛΙΔΑΣ 39
- ΑΡΚΑΔΙΑΣ 13
- ΑΡΤΑΣ 23
- ΑΧΑΪΑΣ 105
- ΒΟΙΩΤΙΑΣ 47
- ΒΟΡΕΙΟΥ ΤΟΜΕΑ ΑΘΗΝΩΝ 427
- ΓΡΕΒΕΝΩΝ 3
- ΔΡΑΜΑΣ 29
- ΔΥΤΙΚΗΣ ΑΤΤΙΚΗΣ 101
- ΔΥΤΙΚΟΥ ΤΟΜΕΑ ΑΘΗΝΩΝ 348
- ΕΒΡΟΥ 29
- ΕΥΒΟΙΑΣ 59
- ΖΑΚΥΝΘΟΥ 8
- ΗΛΕΙΑΣ 33
- ΗΜΑΘΙΑΣ 20
- ΗΡΑΚΛΕΙΟΥ 83
- ΘΑΣΟΥ 1
- ΘΕΣΠΡΩΤΙΑΣ 22
- ΘΕΣΣΑΛΟΝΙΚΗΣ 292
- ΘΗΡΑΣ 39
- ΙΘΑΚΗΣ 1
- ΙΚΑΡΙΑΣ 1
- ΙΩΑΝΝΙΝΩΝ 47
- ΚΑΒΑΛΑΣ 44
- ΚΑΛΥΜΝΟΥ 10
- ΚΑΡΔΙΤΣΑΣ 13
- ΚΑΡΠΑΘΟΥ 3
- ΚΑΣΤΟΡΙΑΣ 2
- ΚΕΑΣ – ΚΥΘΝΟΥ 3
- ΚΕΝΤΡΙΚΟΥ ΤΟΜΕΑ ΑΘΗΝΩΝ 672
- ΚΕΡΚΥΡΑΣ 31
- ΚΕΦΑΛΛΗΝΙΑΣ 16
- ΚΙΛΚΙΣ 2
- ΚΟΖΑΝΗΣ 13
- ΚΟΡΙΝΘΙΑΣ 47
- ΚΩ 11
- ΛΑΚΩΝΙΑΣ 20
- ΛΑΡΙΣΑΣ 104
- ΛΑΣΙΘΙΟΥ 27
- ΛΕΣΒΟΥ 27
- ΛΕΥΚΑΔΑΣ 5
- ΛΗΜΝΟΥ 15
- ΜΑΓΝΗΣΙΑΣ 40
- ΜΕΣΣΗΝΙΑΣ 56
- ΜΗΛΟΥ 11
- ΜΥΚΟΝΟΥ 9
- ΝΑΞΟΥ 19
- ΝΗΣΩΝ 19
- ΝΟΤΙΟΥ ΤΟΜΕΑ ΑΘΗΝΩΝ 333
- ΞΑΝΘΗΣ 10
- ΠΑΡΟΥ 9
- ΠΕΙΡΑΙΩΣ 335
- ΠΕΛΛΑΣ 21
- ΠΙΕΡΙΑΣ 33
- ΠΡΕΒΕΖΑΣ 18
- ΡΕΘΥΜΝΟΥ 26
- ΡΟΔΟΠΗΣ 13
- ΡΟΔΟΥ 105
- ΣΑΜΟΥ 13
- ΣΕΡΡΩΝ 24
- ΣΠΟΡΑΔΩΝ 3
- ΣΥΡΟΥ 10
- ΤΗΝΟΥ 2
- ΤΡΙΚΑΛΩΝ 16
- ΦΘΙΩΤΙΔΑΣ 32
- ΦΛΩΡΙΝΑΣ 4
- ΦΩΚΙΔΑΣ 8
- ΧΑΛΚΙΔΙΚΗΣ 22
- ΧΑΝΙΩΝ 67
- ΧΙΟΥ 19
- ΥΠΟ ΔΙΕΡΕΥΝΗΣΗ 142

- Το Ιράν χτυπά ενεργειακές υποδομές στον Κόλπο - Απειλές Τραμπ για μαζικές επιθέσεις - LIVE οι εξελίξεις
- Χωρίς ταξί και σήμερα η Αττική: Μέχρι πότε θα συνεχιστεί η απεργία - Τι κάνουν οι επιβάτες σε περίπτωση έκτακτης ανάγκης
- Νέα στοιχεία για την Καλαμαριά: Φέρεται να εμπλέκεται κορυφαίος αθλητικός παράγοντας
- Ο μυθικός Αττίκ, η περίφημη «Μάντρα» και το τραγικό τέλος του
Ακολουθήστε το Reader στα Google News για να είστε πάντα ενημερωμένοι για όλες τις ειδήσεις και τα νέα από την Ελλάδα και τον κόσμο.