Εκτοξεύτηκαν τα κρούσματα κορονοϊού σε όλη την Ελλάδα αφού ο ΕΟΔΥ την Τρίτη 18 Οκτωβρίου ανακοίνωσε 3.739, επιβεβαιώνοντας τις προβλέψεις που είχαν κυκλοφορήσει από το πρωί. Ακόμα ανακοινώθηκαν 356 διασωληνωμένοι στα νοσοκομεία ενώ κατά το τελευταίο 24ωρο καταγράφηκαν 29 θάνατοι. Μεταξύ των ασθενών που νοσηλεύονται διασωληνωμένοι, 312 (87.64%) είναι ανεμβολίαστοι ή μερικώς εμβολιασμένοι και 44 (12.36%) είναι πλήρως εμβολιασμένοι. Ακόμα σημειώνεται ότι συνολικά τα κρούσματα από την αρχή της πανδημίας ξεπέρασαν τα 700.000.
Αναλυτικά, η ανακοίνωση του ΕΟΔΥ:
Τα νέα εργαστηριακά επιβεβαιωμένα κρούσματα της νόσου που καταγράφηκαν τις τελευταίες 24 ώρες είναι 3.739, εκ των οποίων 12 εντοπίστηκαν κατόπιν ελέγχων στις πύλες εισόδου της χώρας. Ο συνολικός αριθμός των κρουσμάτων ανέρχεται σε 700.959 (ημερήσια μεταβολή +0.6%), εκ των οποίων 50.8% άνδρες. 1 2 Με βάση τα επιβεβαιωμένα κρούσματα των τελευταίων 7 ημερών, 124 θεωρούνται σχετιζόμενα με ταξίδι από το εξωτερικό και 2.144 είναι σχετιζόμενα με ήδη γνωστό κρούσμα. Οι νέοι θάνατοι ασθενών με COVID-19 είναι 29, ενώ από την έναρξη της επιδημίας έχουν καταγραφεί συνολικά 15.447 θάνατοι. Το 95.3% είχε υποκείμενο νόσημα ή/και ηλικία 70 ετών και άνω.
Ο αριθμός των ασθενών που νοσηλεύονται διασωληνωμένοι είναι 356 (64.3% άνδρες). Η διάμεση ηλικία τους είναι 66 έτη. To 81.7% έχει υποκείμενο νόσημα ή/και ηλικία 70 ετών και άνω. Μεταξύ των ασθενών που νοσηλεύονται διασωληνωμένοι, 312 (87.64%) είναι ανεμβολίαστοι ή μερικώς εμβολιασμένοι και 44 (12.36%) είναι πλήρως εμβολιασμένοι. Από την αρχή της πανδημίας έχουν εξέλθει από τις ΜΕΘ 3.253 ασθενείς. Οι εισαγωγές νέων ασθενών Covid-19 στα νοσοκομεία της επικράτειας είναι 192 (ημερήσια μεταβολή -9.43%). Ο μέσος όρος εισαγωγών του επταημέρου είναι 208 ασθενείς.Η διάμεση ηλικία των κρουσμάτων είναι 39 έτη (εύρος 0.2 έως 106 έτη), ενώ η διάμεση ηλικία των θανόντων είναι 78 έτη (εύρος 0.2 έως 106 έτη).
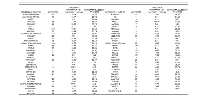
Tα κρούσματα στις περιφερειακές ενότητες που ανήκουν στην Αττική:
- Ανατολική Αττική: 79
- Βόρειος Τομέας Αθηνών: 114
- Δυτική Αττική: 26
- Δυτικός Τομέας Αθηνών: 109
- Κεντρικός Τομέας Αθηνών: 173
- Νότιος Τομέας Αθηνών: 68
- Πειραιάς: 126
- Νήσοι: 6
Αναλυτικά η κατανομή σε όλη τη χώρα

- Φόβοι για serial killer στη Θεσσαλονίκη: Την εμπλοκή του 52χρονου και στη δεύτερη νεκρή εξετάζουν οι αρχές
- Lane Assist: Πώς λειτουργεί το σύστημα που φέρεται να μπλόκαρε το τιμόνι στη Ρουμανία
- Το πρόβλημα που δεν στάθμισε η Καρυστιανού, η άνω τελεία στην Όλγα και οι ανατροπές λόγω των τραγωδιών
- Φάνης Λαμπρόπουλος: Τα πρώτα σχόλια για την αποχώρηση της Ελένης Βουλγαράκη - «Δεν ήταν εύκολο»
Ακολουθήστε το Reader στα Google News για να είστε πάντα ενημερωμένοι για όλες τις ειδήσεις και τα νέα από την Ελλάδα και τον κόσμο.